
스택/BOP 동적 특성 모델 검증을 위한 PEM 수전해 시스템 개발에 관한 연구
2026 The Korean Hydrogen and New Energy Society. All rights reserved.
Abstract
This paper presents a simulation model for analyzing the behavior of a proton exchange membrane water electrolyzer (PEMWE) system under varying power input conditions. The proposed model integrates an electrochemical stack model with system-level components, enabling the evaluation of stack voltage, current, and hydrogen production characteristics under different operating conditions. Simulation results demonstrate that the operating behavior of the PEMWE system varies depending on changes in the input power level, and the model effectively captures the corresponding variations in system performance. The proposed modeling framework can be utilized as a useful tool for analyzing PEM water electrolyzer systems under diverse operating conditions and for supporting future studies on operational strategy development.
Keywords:
Dynamic simulation, Polymer electrolyte membrane, Water electrolysis, Thermal management system, System modeling키워드:
동적 시뮬레이션, 고분자 전해질 막, 수전해, 열관리 시스템, 시스템 모델링1. 서 론
PEM 연료전지(PEMFC)는 수소 기반 전력 변환 시스템의 핵심 요소로, 정상상태 및 동특성 해석을 통해 다양한 응용 연구가 수행되어 왔다. 초기 연구에서는 연료전지의 정상상태와 과도 응답을 모사하기 위한 동적 모델링 기법이 제안되었으며, 이후 제어 전략을 포함한 통합 시스템 해석으로 발전하였다1-2). MATLAB/Simulink (Mathworks, Natick, MA, USA) 환경을 활용한 PEMFC 시뮬레이션 연구 또한 활발히 진행되어, 시스템 거동 분석3), 전극 구조 모델링4), 물리 파라미터 기반의 정밀 해석5), 입력 변수 제어에 따른 성능 변화 등6)이 보고되었다. 또한 임피던스 특성 분석을 통한 파라미터 산정 기법7)과 수학적 모델링8)이 병행되면서, PEMFC의 전기화학적 메커니즘과 시스템 차원의 동특성을 연계하려는 시도가 지속적으로 이루어졌다.
또한, PEM 수전해(PEM WE)는 청정 수소 생산의 유망 기술로 부각되면서, 시스템 동특성에 대한 모델링 연구가 다양하게 이루어졌다9-12). 초기에는 스택의 전기화학 반응을 기반으로 한 동적 모델이 제안되어 수소 생산 거동을 예측하였으며13), 등가 전기회로 기반 모델링을 통한 단순화된 해석 기법도 개발되었다14). 이후에는 고압 운전 조건을 고려한 동적 모델15)과 태양광 발전과 연계된 실험 및 시뮬레이션16)이 보고되면서, 실제 응용 시나리오를 반영한 연구가 활발히 이루어졌다. 최근에는 저압 스택을 대상으로 한 MATLAB/Simulink 기반의 모델이 개발되어, 다양한 운전 조건에서의 PEM 수전해의 거동을 검증하는 데 활용되고 있다17).
PEMFC와 PEMWE는 각각 독립적인 연구 주제로 다루어질 뿐만 아니라, 신재생에너지 기반 에너지 시스템과 연계된 연구에서도 중요한 역할을 수행하고 있다. PEMFC와 PEMWE는 동일한 고분자전해질막(PEM)을 기반으로 하는 전기화학 시스템으로서, 전기화학 반응 메커니즘, 스택 구조 및 시스템 구성 측면에서 많은 공통점을 가진다. 이러한 공통성으로 인해 두 시스템은 모델링 및 시뮬레이션 연구 관점에서 상호 연관된 연구 대상이 된다. 이러한 관점에서 태양광 발전과 PEM 연료전지를 연계한 하이브리드 에너지 시스템 모델링 연구가 수행된 바 있으며, 시스템 통합적 관점에서의 에너지 자급 운용 가능성이 제안된 바 있다18).
한편, PEM 수전해 기술과 관련하여 Carmo 등19)은 PPEM 수전해 기술의 전반적인 연구 동향을 종합적으로 분석한 논문으로, 막-전극 조합, 전해질 특성, 촉매 성능, 시스템 효율성 등 PEM 수전해의 기술적 현황을 폭넓게 다루고 있다. 이 연구는 PEM 수전해 시스템의 기초 이론적 기반을 제공하며, 다양한 설계 변수와 운전 조건이 성능에 어떠한 영향을 미치는지 파악하는 데 중요한 참고가 될 수 있다.
또한, Zhu 등20)은 실제 운전 조건에서 설계 및 작동 변수(전류 밀도, 온도, 압력 등)가 PEM 수전해의 수소 생산 성능에 미치는 영향을 정량적으로 분석하였다. 이 연구는 최신 데이터를 바탕으로 PEM 수전해의 성능 특성 및 운전 조건 변화에 따른 거동을 분석하는 데 기여하였다.
이러한 기존 연구들은 주로 스택 자체의 전기화학적 성능 해석이나 단일 운전 조건에 초점을 맞추고 있어, 실제 운전에서 중요한 Balance of Plant (BOP)와 스택의 상호작용, 그리고 전체 시스템 수준에서의 거동 분석에 대한 연구는 상대적으로 부족하다. 따라서 PEM 수전해의 상용화를 위해서는 스택과 BOP가 통합된 시스템 모델을 기반으로 한 거동 분석이 필요하며, 본 연구는 이러한 필요성을 충족하기 위해 스택/BOP 통합 모델을 개발하고 이를 검증함으로써 PEM 수전해 시스템의 신뢰성 향상과 최적 운전을 위한 기반을 마련하는 것을 목표로 한다.
2. PEM 수전해 시스템
Fig. 1은 본 연구에서 고려한 PEM 수전해 모델의 개략도를 보여준다. PEM 수전해 시스템은 물을 전기분해하여 수소와 산소를 생산하는 장치로, 스택과 Balance of Plant (BOP)으로 구성된다. 스택은 전기화학 반응을 담당하는 핵심 부품이며, BOP는 물 공급, 열 관리, 가스 분리 및 제어를 통해 스택이 안정적으로 동작하도록 지원한다. 본 그림은 PEM 수전해기의 전체 시스템 배관 및 계통도를 나타내며, 물·가스·열관리 흐름과 각 주요 구성 요소의 상호작용을 보여준다. 수전해 반응에 필요한 순수는 수처리 리저버에서 저장·공급되며, 펌프를 통해 공급된 물은 분기되어 스택 및 열교환기로 이송된다. 스택으로 이송된 순수는 스택의 운전 온도를 유지하기 위해 전기 히터로 가열된 뒤 애노드 측 유로로 주입된다. 반응 후 응축된 물은 워터 트랩 리저버에 회수되어 다시 시스템으로 재순환되며, 이를 통해 물 밸런스가 유지된다. 열교환기로 이송된 순수는 냉각되며 다시 레저버로 공급된다. 이러한 수처리 및 순환 계통은 시스템의 전체 온도를 유지하고, 안정적인 전기분해 반응을 유지하는 데 필수적이다.
PEM 전해 스택은 애노드와 캐소드로 구분된 전극 구조를 갖추고 있으며, 애노드에서는 산소 발생, 캐소드에서는 수소 발생 반응이 일어난다. 스택의 운전은 전류 밀도 제어를 통해 설정되며, 스택 입·출구에는 온도·압력 센서가 설치되어 전기화학적 성능과 운전 안정성을 모니터링한다. 발생한 열은 주로 공정수 및 냉각수 루프를 통해 제거되며, 이는 스택 수명과 성능을 좌우하는 중요한 인자이다. 스택에서 배출된 혼합 유출물은 가스 쿨러/컨덴서를 통과하며 냉각·응축 과정을 거친다. 이를 통해 수분이 제거되고, 건조된 수소와 산소는 각각의 가스 라인으로 분리된다. 이 과정에서 발생한 응축수는 워터 트랩 리저버로 회수되어 다시 공정수 계통에 합류한다. 각 라인에는 온도·압력 센서가 설치되어 가스 건조 상태를 검증하고, 시스템 이상 여부를 감지할 수 있도록 하였다.
가스 출구에는 배압조절기(BPR)가 설치되어 각 라인의 압력을 일정하게 유지함으로써, 스택 내 차압이 과도하게 증가하는 것을 방지한다. 안정화된 수소와 산소는 각각의 저장기로 이송되며, 이 과정에서 안전밸브, 체크밸브, 가스 분석 장치가 추가되어 시스템의 안전성을 확보한다. 이러한 압력 제어와 가스 저장 장치는 PEM 수전해 시스템의 장기 운전과 신뢰성 확보를 위한 핵심적인 요소라 할 수 있다.
Fig. 2는 본 연구에서 고려한 PEM 수전해 모델을 보여준다. 본 연구에서 구축한 PEM 수전해 시스템은 스택과 BOP를 일체형 베이스플레이트에 탑재하고, 알루미늄 프로파일 프레임과 투명 패널로 구성된 3단 인클로저 내부에 설치된 모듈식 시험 장치이다. 시스템은 수처리 리저버, 펌프, 열교환기, 가스–액 분리기 및 각종 계측 장치를 포함하여 공정수 공급, 열 관리, 가스 분리 및 회수 기능을 체계적으로 구현하였으며, 하부에는 실린더와 안전 계통이 별도로 배치되어 퍼지 및 배출을 안전하게 수행할 수 있도록 설계되었다. 또한 모든 주요 배관과 장치는 평면 배치와 투명 패널을 통해 가시성을 확보하여 운전 상태와 계측 신호를 직관적으로 확인할 수 있으며, 유지보수와 안전 점검의 편의성도 고려되었다. 이러한 모듈형 설계는 시스템의 운송 및 설치 용이성을 높이는 동시에, 다양한 운전 조건에서의 특성 검증 및 실험적 데이터 확보를 가능하게 하는 기반을 제공할 수 있다.
Fig. 3은 본 연구에서 실제 제작한 PEM 수전해 시험 장치를 보여준다. 설계 단계에서 제시한 개략도를 기반으로 스택과 BOP 장치가 일체형으로 구성된 시험 장치로, 시스템은 알루미늄 프로파일로 제작된 밀폐형 프레임 내부에 공정수 공급부, 펌프, 열교환기, 가스–액 분리기, 수처리 리저버 및 각종 계측 장치를 체계적으로 배치하여 안정적 운전과 신뢰성 있는 데이터 확보가 가능하도록 설계되었다. 또한 내부 구성은 배관 네트워크와 센서 배치가 명확히 드러나도록 구성되어 있으며, 투명 패널을 통해 운전 상태를 시각적으로 확인할 수 있는 동시에 차폐 구조를 적용해 운전자의 안전을 확보하였다. 제작된 시스템은 설계 목표에 부합하는 구조적 완성도를 갖추었으며, 다양한 운전 조건에서 PEM 수전해의 동적 특성을 실험적으로 분석하고 검증할 수 있는 실험 플랫폼으로 활용될 수 있다.
Fig. 4는 스택의 온도별 초기 성능의 충전과 방전에 따른 평균 전압의 변화와 차이 보여준다. 전류의 충전과 방전에 있어 성능에 대한 차이에 대한 편차를 줄이기 위해 충전과 방전에 대한 평균값을 이용한 스택의 성능 데이터를 채택하였다. 300 W 수전해 스택의 평가 결과 45℃의 온도에서 저전류 구간에서는 상대적으로 성능에 대한 변화가 적고 고전류 구간일수록 성능에 대한 변화가 크게 나타났다. PEM 수전해 시스템은 상용 및 대형 시스템 관점에서 1–2 A/cm2 수준의 전류밀도 운전이 널리 보고되고 있으며21,22), DOE 및 IRENA 자료에서도 약 2 A/cm2 수준의 전류밀도가 대표적인 운전 지표로 제시되고 있다. 그러나 본 연구에서는 300 W급 PEM 수전해 스택에 대해 실험 데이터를 안정적으로 확보하고 모델을 검증하기 위한 목적으로, 운전 전류 밀도 범위를 1 A/cm² 이하로 설정하였다23). 해당 운전 범위에서 0.4 A/cm² 이상부터 운전 온도에 따른 성능 차이가 뚜렷하게 나타났으며, 이를 통해 수전해 스택의 안정적인 운전을 위해 운전 온도를 최대 45℃로 유지하는 것이 중요함을 확인하였다.
3. PEM 수전해 시스템 모델링
본 연구에서는 Matlab/Simulink® 환경에서 시뮬레이션 모델이 구성되었다. PEM 수전해 스택의 작동 전압은 개방회로전압(OCV)과 전압 손실 항의 합으로 구성된다. OCV는 전류가 흐르지 않는 조건에서 물의 전기분해에 필요한 이론적 최소 전압으로, 온도와 반응가스 분압에 의해 결정된다. 활성화 전압 손실은 전극 반응의 속도 제한에 기인하며, 저전류 영역에서 지배적으로 나타난다. 특히 PEM 수전해에서는 산소 발생 반응의 느린 반응 속도로 인해 양극에서 활성화 손실이 크게 발생한다. 저항 전압 손실은 전해질막과 전극, 분리판 등에서 발생하는 옴 저항에 의해 나타나며, 전류에 선형적으로 비례한다. 이러한 전압 구성 요소를 통해 PEM 수전해 셀 전압을 효과적으로 해석할 수 있으며 다음과 같이 표현된다.
| (1) |
개회로전압(OCV)은 전류가 흐르지 않는 조건에서 물의 전기분해 반응에 필요한 이론적 최소 전압을 의미한다. OCV는 열역학적으로 Gibbs 자유에너지 변화에 의해 정의되며, 실제 운전 조건에서는 Nernst 식으로 표현된다. 또한 대기압 조건에서는 온도에 의존하는 경험식으로 OCV가 결정되며, 다른 운전 조건에 대해서도 다양한 표현식이 보고되어 있다24).
| (2) |
활성화 손실은 전극에서의 전기화학 반응 속도 제한으로 인해 발생하는 전압 손실로, 저전류 영역에서 지배적으로 나타난다. PEM 수전해에서는 산소 발생 반응의 느린 반응 속도로 인해 활성화 손실이 주로 양극에서 크게 나타난다. 활성화 손실은 Butler–Volmer 식으로 다음과 같이 표현될 수 있다25):
| (3) |
| (4) |
저항 손실은 전해질막, 전극, 분리판 및 집전체에서 발생하는 전기적 저항에 의해 나타나는 전압 손실이다. 이는 전류 밀도에 선형적으로 비례하며, PEM 수전해 스택에서는 전해질막의 양성자 전도도가 저항 손실에 큰 영향을 미친다. 저항 손실은 일반적으로 다음과 같이 표현된다:
| (5) |
Table 1은 PEM 수전해 전기화학 반응 모델의 주요 변수를 정리하였다. 해당 변수들은 셀 전압을 구성하는 각 손실 항과 반응 특성을 기술하는 데 사용되며, 전류밀도와 온도 변화에 따른 셀 성능을 일관되게 모사할 수 있도록 설정되었다. 또한, 이론식만으로 설명하기 어려운 실제 PEM 수전해 셀의 거동을 반영하기 위해 일부 전기화학적 파라미터에 대해 피팅 계수를 도입하였다. 해당 계수들은 실험 데이터를 기반으로 제한된 범위 내에서 보정되었으며, 전압 손실 항의 물리적 의미를 유지하도록 설정되었다. 이를 통해 제안된 모델은 PEM 수전해 셀의 성능 예측 및 해석을 위한 기초 모델로 활용될 수 있다.
Fig. 5는 모델 및 실험데이터 상의 I-V 성능 곡선 검증 결과이다. 수전해 평가 장치를 바탕으로 획득한 실험 데이터를 활용하여, 개발된 모델의 검증을 수행하여야 한다. 단위 전지 특성 평가는 50.24 cm2의 활성화 면적을 가지고 셀을 구성하였다. 본 연구에서는 단위 수전해 시스템 셀의 검증을 위해서 온도는 45℃로 설정하여 모델의 성능 곡선을 확인하였다. 부하 조건은 저부하부터 고부하까지 전 부하 조건에 대한 스택 내 단위 전지의 특성을 볼 수 있도록 설정하였다. Fig. 5에서 보듯이, 개발된 수전해 시스템 스택 전압 모델이 실험데이터와의 관계를 오차 범위 10% 이내에 잘 설명하는 것을 확인할 수 있다. 하지만 주요 운전 구간인 0.4∼0.8 A/cm2의 구간에서는 오차가 거의 발생하지 않는 것을 확인할 수 있으며, 실제 시스템의 주요한 운전 구간에서 성능을 예측하는 데 사용할 수 있다.
4. 결과 및 고찰
Fig. 6은 Matlab/Simulink 환경에서 구축된 PEM 수전해 시스템의 통합 시뮬레이션 모델 구성을 나타낸다. 본 모델은 각 모듈별 단품 모델을 기반으로 통합되어, 스택과 BOP가 포함된 전체 시스템의 동적 거동을 재현할 수 있도록 설계되었다. 모델은 크게 제어기(Control), 구동부(Actuators), PEM 수전해 모델(PEMWE model), 그리고 데이터 수집부(Data acquisition)로 구분된다. 제어기 모델은 히터와 펌프의 동작을 제어하기 위한 로직을 포함하며, 스택 운전 온도와 펌프 전압을 입력으로 받아 히터 및 펌프에 적절한 제어 신호를 전달한다. 구동부 모델은 히터의 발열 특성, 펌프 운전 곡선, 그리고 냉각수 공급 유량 데이터 등을 반영하여 실제 구동기 특성을 시뮬레이션 상에서 구현한다.
PEM 수전해 모델은 스택의 수학적 모델과 M-BOP 구성품의 열·유동 모델을 포함하여 스택 내부 전기화학 반응 및 외부 보조 장치의 특성을 통합적으로 재현한다. 출력 변수로는 전류 밀도, 스택 전압, 온도, 압력, 발생 수소량 및 열 관리 관련 파라미터가 도출되며, 이는 시스템의 운전 상태를 정량적으로 평가하는 핵심 지표로 사용된다. 마지막으로 데이터 수집 모델은 HILS (Hardware-in-the-Loop Simulation) 환경과 연동하기 위해 각종 모델 출력을 전압 신호 형태로 변환하는 기능을 포함하고 있어, 실제 하드웨어와 가상 모델 간의 실시간 데이터 교환을 가능하게 한다. 이를 통해 본 통합 모델은 PEM 수전해 시스템의 제어 알고리즘 검증, 운전 조건 최적화, 그리고 실험적 데이터와의 상호 검증에 활용될 수 있는 기반을 제공할 수 있다.
Fig. 7은 Matlab/Simulink 기반으로 구축된 PEM 수전해 시스템의 M-BOP (Model Balance of Plant) 통합 모델 구조를 나타낸다. 본 모델은 스택과 이를 운전하기 위한 보조 장치들을 수학적으로 결합한 모듈로, 수전해 시뮬레이션의 핵심을 이룬다. 전체 모델은 크게 질량수지(Mass balance), 전기화학 반응(Electro-chemical reaction), 열수지(Heat balance), 열교환기(Heat exchanger), 저장조(Reservoir) 모듈로 구분된다. 질량수지 모듈은 반응을 통해 발생하는 산소, 수소, 수분의 유량 및 농도를 계산하고, 전기화학 반응 모듈은 전류밀도, 셀 전압, 개방전압(OCV) 등을 기반으로 스택 내부의 전기화학적 거동을 해석한다. 이어서 열수지 모듈은 스택 발열 및 입력 유량에 따른 열 발생을 산출하여 시스템 온도 특성에 반영하며, 열교환기 모듈은 냉각수 입출구 온도, 열교환량, 그리고 반응 유체의 온도 변화를 모사하여 실제 장치의 열관리 기능을 재현하도록 하였다.
저장조 모듈은 반응수 공급과 더불어 전체 시스템의 열용량 및 히트 밸런스를 반영하여 시스템 온도 특성에 중요한 영향을 미친다. 특히 60 kg/day급 PEM 수전해 시스템의 경우, 초기 구동 시에는 히터가 반응 온도 상승에 기여하지만 정상 운전 이후에는 스택 자체의 발열이 지배적으로 작용한다. 이를 모델에 반영하기 위해 저장조의 열수지와 스택 발열량이 통합되도록 구성되었으며, 이를 통해 실제 운전 조건에서 나타나는 열 거동을 보다 정밀하게 예측할 수 있다. 이러한 구조적 통합은 단순히 개별 구성 요소의 모델링을 넘어, 스택–BOP 간 상호작용을 고려한 시스템 수준의 해석을 가능하게 하며, PEM 수전해기의 설계 및 운전 최적화에 기여할 수 있는 기반을 제공할 수 있다.
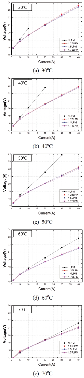
Fig. 8은 PEM 수전해 스택의 운전 온도(30–70℃)와 공급 유량(1.0–1.75 LPM) 변화에 따른 전류–전압 특성을 나타낸 결과이다. 모든 조건에서 전류가 증가함에 따라 전압이 상승하는 경향을 보이며, 저전류 영역에서는 주로 오믹 손실에 따른 선형적 증가가 관찰되고, 고전류 영역에서는 활성화 및 농도 과전압의 영향으로 전압 상승 곡선이 가파르게 변하는 특징을 보였다. 특히 1.0 LPM 조건에서는 고전류 영역에서 전압 상승이 급격히 나타나 수분 공급 부족 및 농도 분극의 영향을 확인할 수 있었다.
온도 상승은 동일 유량 조건에서 전압을 낮추는 효과를 가져왔으며, 이는 전해질 막의 이온전도도 증가, 반응 속도 향상, 가스 탈착 용이성 증가에 기인한다. 30℃에서 70℃로 온도가 높아질수록 요구 전압이 감소하여 전기화학적 성능이 향상되었으나, 60–70℃ 구간에서는 유량 변화에 따른 성능 차이가 작아져 온도 상승에 따른 개선 효과가 한계에 도달함을 확인할 수 있었다.
또한, 유량 증가 효과는 전류가 큰 영역에서 뚜렷하게 나타났으며, 이는 공급수 증가가 막 수화 유지, 반응물 전달 개선, 생성 가스 제거에 기여하기 때문이다. 그러나 유량을 과도하게 높이는 경우 펌핑 동력 증가 및 시스템 압력 손실이 커질 수 있으므로, 전압 저감 효과와 BOP 소비전력 간의 균형을 고려하여 최적 유량 조건을 설정할 필요가 있다.
Fig. 9는 공급 유량(1.0–1.75 LPM)을 고정한 상태에서 운전 온도(30–70℃)를 변화시켰을 때의 전류–전압 특성을 나타낸 결과이다. 모든 유량 조건에서 전류 증가에 따라 전압이 상승하였으며, 동일 전류에서 운전 온도가 높을수록 전압이 낮아져 스택의 성능이 향상됨을 확인할 수 있었다. 이는 막의 이온전도도 증가, 전극 반응 속도 향상, 물-가스 전달 특성 개선으로 인해 과전압 손실이 줄어들었기 때문이다.
유량이 낮은 1.0 LPM 조건에서는 고전류 영역에서 온도 변화에 따른 전압 차이가 크게 나타나, 저온 운전 시 농도 분극과 수분 부족 현상이 두드러짐을 보여준다. 반면 1.25–1.75 LPM 조건으로 유량을 높이면 고전류 영역에서도 비교적 안정적인 전압 특성이 나타났으며, 특히 60℃ 이상의 고온 조건에서는 전압 분포가 서로 근접해 유량 및 온도 변화에 따른 성능 차이가 줄어들었다. 이는 충분한 공급수와 높은 반응 온도에서 스택 내 반응 및 물질전달이 원활해지며, 막 수화 상태가 안정적으로 유지되기 때문이다. 따라서 PEM 수전해 스택의 안정적 운전을 위해 60–70℃ 이상의 고온 조건과 1.25 LPM 이상의 공급 유량을 유지하는 것이 바람직함을 알 수 있다. 특히 저유량⋅저온 조건에서는 성능 저하 및 과전압 상승이 뚜렷하게 나타나므로 장시간 운전 시 피해야 하며, 최적 운전 범위를 설정하기 위해서는 펌핑 동력 증가와 시스템 효율 간의 균형을 고려해야 한다.
Fig. 10은 셀 전압–전류밀도(분극) 특성에 대해 실험 데이터와 모델 예측을 중첩해 스택 성능 모델을 검증한 결과이다. 본 비교는 정상상태 운전 조건에서의 성능 데이터를 기준으로 수행되었으며, 장시간 운전에 따른 성능 저하나 열화 현상은 본 모델에 포함되어 있지 않다. 곡선 형태는 저전류 영역에서의 완만한 상승(주로 활성화·오믹 과전압)과 고전류 영역에서의 점진적 곡률 증가(농도 과전압 기여)를 동일하게 재현하고 있으며, 결정계수는 R2≈0.98(모델–실험 일치도) 수준으로 제시되어 전체 구간에서 매우 높은 적합도를 보인다. 시각적으로는 저전류밀도(<∼0.1 A·cm-2)에서 모델이 실험보다 낮게, 중·고전류 영역(∼0.6–0.8 A·cm-2)에서는 약간 높게 예측하는 경향이 관찰되는데, 이는 각각 (i) 교환전류밀도/타펠슬로프·접촉저항의 보수적 추정, (ii) 단순화된 물질전달(채널 내 기체 홀드업·확산계수) 처리로 설명될 수 있다.
특히, 45℃ 운전 조건에서 0.1–0.3 A/cm²의 저전류 영역에서는 모델 예측 결과와 실험 데이터 간의 오차가 상대적으로 크게 나타나는 경향이 관찰되었다. 이러한 오차는 다음과 같은 요인들에 기인할 수 있다. 우선, 저전류 영역에서는 활성화 과전압이 전체 셀 전압에서 차지하는 비중이 상대적으로 크기 때문에, 교환전류밀도나 전하 전달 계수와 같은 전기화학 파라미터의 미세한 차이도 전압 예측 결과에 비교적 큰 영향을 미칠 수 있다. 또한 저전류 조건에서는 셀 전압의 절대적인 변화 폭이 작아, 전압 센서의 오프셋, 배선 및 접촉저항, 계측기의 분해능과 같은 측정 불확도가 상대적으로 크게 작용할 가능성이 있다. 아울러 저부하 운전 조건에서는 유량 제어, 열손실 및 압력 제어 등 Balance of Plant (BOP) 요소의 비선형적 거동이 두드러질 수 있으며, 실험 장치의 초기 조건 및 제어 설정에 따른 편차가 모델 예측 오차로 나타날 수 있다. 마지막으로, 본 연구에서 사용한 모델은 검증을 위해 일정 수준의 단순화 가정(예: 균일 온도 및 균일 분포 가정)을 포함하고 있어, 저전류 영역에서는 이러한 가정으로 인한 차이가 상대적으로 크게 반영될 수 있다.
해석적으로 본 모델은 Vcell = Erev + ηact+ ηohm + ηconc 구조에서 온도·수화도에 따른 막전도도, 전극 촉매의 교환전류밀도(Arrhenius), 채널/다공체 내 전달계수를 합리적으로 파라미터화했음을 시사하며, 시스템 레벨 제어·최적화(예: 유량·온도 스케줄) 연구에 충분한 예측력을 제공한다. 향후 오차 패턴을 더 줄이려면 (1) 막·접촉 복합저항의 온도·습도 의존성 보정, (2) 두상(가스/액) 전이와 채널 포화도를 고려한 농도 과전압 모델 정교화, (3) 서로 다른 온도·유량 조건의 독립 검증 데이터 세트로 교차검증을 수행하는 것이 바람직하다.
5. 결 론
본 연구에서는 스택/BOP 동적 특성 모델 검증을 위한 PEM 수전해 시스템을 개발하고, Matlab/Simulink 기반 통합 시뮬레이션 모델을 구축하여 실험 데이터와 비교·검증을 수행하였다. 제어기, 구동부, 스택 및 M-BOP, 데이터 수집 모듈로 구성된 통합 모델은 실제 시스템의 운전 특성을 정밀하게 반영하도록 설계되었다. 특히, 스택 발열 및 저장조 열수지를 통합하여 60 kg/day급 실증 시스템의 열거동을 효과적으로 예측할 수 있음을 확인하였다. 또한 온도(30–70℃)와 유량(1.0–1.75 LPM) 변화에 따른 전류–전압 특성을 분석한 결과, 고온·충분한 유량 조건에서 스택 성능이 향상되며, 저온·저유량 조건에서는 농도 분극과 과전압 상승으로 인한 성능 저하가 두드러지게 나타났다. 실험과 시뮬레이션의 분극 곡선 비교에서도 R2≈0.98 수준의 높은 일치도를 보여 모델의 신뢰성을 입증하였다. 따라서 본 연구에서 제안한 통합 시뮬레이션 및 실험 검증 접근법은 PEM 수전해기의 운전 조건 최적화와 제어 알고리즘 개발에 활용될 수 있는 중요한 기반을 제공한다.
Acknowledgments
이 연구는 2026년도 정부(과학기술정보통신부)의 재원으로 국가과학기술연구회의 지원을 받아 수행된 한국전기연구원 기본 사업임(No. 26A01022). 2025년도 산업통상자원부 및 산업기술평가관리원(KEIT) 연구비 지원에 의한 연구임(25A02133).
References
-
S. M. Sharifi Asl, S. Rowshanzamir, and M. H. Eikani, “Modelling and simulation of the steady-state and dynamic behaviour of a PEM fuel cell”, Energy, Vol. 35, No. 4, 2010, pp. 1633-1646.
[https://doi.org/10.1016/j.energy.2009.12.010]
-
A. W. Al-Dabbagh, L. Lu, and A. Mazza, “Modelling, simulation and control of a proton exchange membrane fuel cell (PEMFC) power system”, International Journal of Hydrogen Energy, Vol. 35, No. 10, 2010, pp. 5061-5069.
[https://doi.org/10.1016/j.ijhydene.2009.08.090]
-
F. Musio, F. Tacchi, L. Omati, P. G. Stampino, G. Dotelli, S. Limonta, D. Brivio, and P. Grassini, “PEMFC system simulation in MATLAB-Simulink® environment”, International Journal of Hydrogen Energy, Vol. 36, No. 13, 2011, pp. 8045-8052.
[https://doi.org/10.1016/j.ijhydene.2011.01.093]
-
A. F. A. Aziz and I. Amin, “Modeling and analyzing the proton exchange membrane of fuel cell (PEMFC) in Matlab/SIMULINK environment”, IEEE 14th International Multitopic Conference, IEEE, 2011, pp. 238-243.
[https://doi.org/10.1109/INMIC.2011.6151480]
-
Z. Abdin, C. J. Webb, and E. M. Gray, “PEM fuel cell model and simulation in Matlab-Simulink based on physical parameters”, Energy, Vol. 116, 2016, pp. 1131-1144.
[https://doi.org/10.1016/j.energy.2016.10.033]
-
S. L. Chavan and D. B. Talange, “Modeling and performance evaluation of PEM fuel cell by controlling its input parameters,” Energy, Vol. 138, 2017, pp. 437-445.
[https://doi.org/10.1016/j.energy.2017.07.070]
-
A. Bouaicha, H. Allagui, E. Aglzim, A. Bouane, and A. Mami, “Validation of a methodology for determining the PEM fuel cell complex impedance modelling parameters”, International Journal of Hydrogen Energy, Vol. 42, No. 17, 2017, pp. 12738-12748.
[https://doi.org/10.1016/j.ijhydene.2017.01.114]
-
A. Omran, A. Lucchesi, D. Smith, A. Alaswad, A. Amiri, T. Wiberforce, J. R. Sodré, and A. G. Olabi, “Mathematical model of a proton-exchange membrane (PEM) fuel cell”, International Journal of Thermofluids, Vol. 11, 2021, pp. 100110.
[https://doi.org/10.1016/j.ijft.2021.100110]
-
S. Krishnan, V. Koning, M. T. de Groot, A. de Groot, P. G. Mendoza, M. Junginger, and G. J. Kramer, “Present and future cost of alkaline and PEM electrolyser stacks”, International Journal of Hydrogen Energy, Vol. 48, No. 83, 2023, pp. 32313-32330.
[https://doi.org/10.1016/j.ijhydene.2023.05.031]
-
T. Koo, R. Ko, H. Noh, Y. Seo, D. Ha, D. Hyun, and J. Han, “Development of a fault diagnosis model for PEM water electrolysis system based on simulation”, Journal of Hydrogen and New Energy, Vol. 34, No. 5, 2023, pp. 478-489.
[https://doi.org/10.7316/JHNE.2023.34.5.478]
-
Y. M. Seo, T. H. Koo, H. W. Noh, D. W. Ha, and R. K. Ko, “Study on continuous durability evaluation and dynamic simulation for PEM water electrolysis system”, Journal of Hydrogen and New Energy, Vol. 35, No. 5, 2024, pp. 497-505.
[https://doi.org/10.7316/JHNE.2024.35.5.497]
-
Y. M. Seo, T. H. Koo, H. W. Noh, D. W. Ha, and R. K. Ko, “Study on development and application of PEM water electrolysis simulation model using SimscapeTM”, Journal of Hydrogen and New Energy, Vol. 35, No. 6, 2024, pp. 634-642.
[https://doi.org/10.7316/JHNE.2024.35.6.634]
-
H. Görgün, “Dynamic modelling of a proton exchange membrane (PEM) electrolyzer”, International Journal of Hydrogen Energy, Vol. 31, No. 1, 2006, pp. 29-38.
[https://doi.org/10.1016/j.ijhydene.2005.04.001]
-
A. Beainy, N. Karami, and N. Moubayed, “Simulink model for a PEM electrolyzer based on an equivalent electrical circuit”, International Conference on Renewable Energies for Developing Countries 2014, 2014, pp. 145-149.
[https://doi.org/10.1109/REDEC.2014.7038547]
-
T. Yigit and O. F. Selamet, “Mathematical modeling and dynamic Simulink simulation of high-pressure PEM electrolyzer system”, International Journal of Hydrogen Energy, Vol. 41, No. 32, 2016, pp. 13901-13914.
[https://doi.org/10.1016/j.ijhydene.2016.06.022]
-
M. Albarghot and L. Rolland, “MATLAB/Simulink modelling and experimental results of a PEM electrolyzer powered by a solar panel”, 2016 IEEE Electrical Power and Energy Conference, IEEE, 2016, pp. 1-6.
[https://doi.org/10.1109/EPEC.2016.7771691]
-
D. Brezak, A. Kovač, and M. Firak, “MATLAB/Simulink simulation of low-pressure PEM electrolyzer stack”, International Journal of Hydrogen Energy, Vol. 48, No. 16, 2023, pp. 6158-6173.
[https://doi.org/10.1016/j.ijhydene.2022.03.092]
-
C. Ceylan and Y. Devrim, “Design and simulation of the PV/PEM fuel cell based hybrid energy system using MATLAB/Simulink for greenhouse application”, International Journal of Hydrogen Energy, Vol. 46, No. 42, 2021, pp. 22092-22106.
[https://doi.org/10.1016/j.ijhydene.2021.04.034]
-
M. Carmo, D. L. Fritz, J. Mergel, and D. Stolten, “A comprehensive review on PEM water electrolysis”, International Journal of Hydrogen Energy, Vol. 38, No. 12, 2013, pp. 4901-4934.
[https://doi.org/10.1016/j.ijhydene.2013.01.151]
-
Y. Zhu, Y. Zhang, S. Bin, Z. Chen, F. Zhang, S. Gong, Y. Xia, and X. Duan, “Effects of key design and operating parameters on the performance of the PEM water electrolysis for hydrogen production”, Renewable Energy, Vol. 235, 2024, pp. 121290.
[https://doi.org/10.1016/j.renene.2024.121290]
-
M. Kıstı, B. Hüner, A. Albadwi, E. Özdoğan, İ. N. Uzgören, S. Uysal, M. Conağası, Y. O. Süzen, N. Demir, and M. F. Kaya, “Recent advances in polymer electrolyte membrane water electrolyzer stack development studies: a review”, ACS Omega, Vol. 10, No. 10, 2025, pp. 9824-9853.
[https://doi.org/10.1021/acsomega.4c10147]
-
M. Ni, M. K. H. Leung, and D. Y. C. Leung, “Energy and exergy analysis of hydrogen production by a proton exchange membrane (PEM) electrolyzer plant”, Energy Conversion and Management, Vol. 49, No. 10, 2008, pp. 2748-2756.
[https://doi.org/10.1016/j.enconman.2008.03.018]
-
P. Beigzadeh Arough, A. Moranda, A. Niyati, and O. Paladino, “Parametric sensitivity of a PEM electrolyzer mathematical model: experimental validation on a single-cell test bench”, Energies, Vol. 18, No. 9, 2025, pp. 2217.
[https://doi.org/10.3390/en18092217]
-
D. S. Falcão and A. M. F. R. Pinto, “A review on PEM electrolyzer modelling: Guidelines for beginners”, Journal of Cleaner Production, Vol. 261, 2020, pp. 121184.
[https://doi.org/10.1016/j.jclepro.2020.121184]
-
M. Tofighi-Milani, S. Fattahian-Dehkordi, and M. Lehtonen, “Electrolysers: a review on trends, electrical modeling, and their dynamic responses”, IEEE Access, Vol. 13, 2025, pp. 39870-39885.
[https://doi.org/10.1109/ACCESS.2025.3546546]
-
P. Choi, D. G. Bessarabov, and R. Datta, “A simple model for solid polymer electrolyte (SPE) water electrolysis”, Solid State Ionics, Vol. 175, No. 1-4, 2004, pp. 535-539.
[https://doi.org/10.1016/j.ssi.2004.01.076]










