
무탄소 암모니아 크래킹 모사 연료와 메탄 연료의 폭발특성 비교
2026 The Korean Hydrogen and New Energy Society. All rights reserved.
Abstract
To address serious climate change, it is essential to replace hydrocarbon fuels widely used in industrial systems with carbon-free alternatives. Among these, ammonia cracking fuel has been reported in previous studies to exhibit laminar flame characteristics comparable to those of methane–air flames, based on parameters such as adiabatic flame temperature, laminar flame behavior, and thermal thickness, indicating its potential as a substitute for conventional hydrocarbon fuels. However, since ammonia cracking fuel contains hydrogen, a thorough safety assessment is required due to hydrogen’s distinct combustion characteristics. Therefore, this study experimentally characterized the explosion characteristics of simulated ammonia-cracking fuel under various equivalence ratio and initial pressure conditions, and compared them with those directly measured for methane fuel under identical conditions.
Keywords:
Ammonia cracking ratio, Maximum explosion pressure, Explosion index키워드:
암모니아 크래킹 비율, 최대 폭발 압력, 폭발 지수1. 서 론
최근 기후 변화로 인해 탄화수소 연료를 무탄소 연료로 전환하려는 시도가 계속되고 있다1). 대표적으로 무탄소 연료인 수소와 암모니아가 주목을 받고 있다. 하지만, 수소는 높은 저장 및 운송비용, 폭발 위험성, 낮은 자발화 온도 등의 문제점을 가지고 있고 암모니아는 좁은 가연한계, 낮은 연소속도, 높은 자발화 온도 등의 문제점을 가지고 있다1,2). 이러한 문제를 해결하기 위해 메탄이나 수소 등을 암모니아와 혼소시키거나 암모니아를 수소와 질소로 분해하는 방법이 고려되고 있다3-7). 그중 암모니아를 수소와 질소로 분해하는 방법이 암모니아의 낮은 가연한계와 낮은 연소속도를 해결해 줄 수 있는 효율적인 방법이라고 보고되었다6-9).
특히, Verkamp 등6)은 암모니아 크래킹 비율이 28%일 때, 메탄–공기 예혼합화염과 유사한 가연한계를 보인다고 보고하였다. 또한, Shohdy 등8)은 암모니아 크래킹 비율을 10%, 20%, 28%로 선정하여 크래킹 비율에 따른 일산화질소 및 이산화질소 배출특성과 blow-off 등에 관하여 조사하였다. Wiseman 등9)은 암모니아/수소/질소–공기 화염(40% 암모니아/45% 수소/15% 질소)과 메탄–공기 화염의 층류 화염 특성이 유사하다고 보고하고, 암모니아/수소/질소–공기 화염의 blow-out 거동에 대한 실험 및 수치해석 연구를 진행하였다.
그러나, 암모니아를 수소와 질소로 분해하게 되면 수소의 연소 특성으로 인해 폭발 위험성이 증가하기 때문에 암모니아 크래킹 연료를 실제 산업 시스템에 적용하기 위해서는 안전성 측면에서 암모니아/수소/질소–공기의 폭발특성을 파악하는 것은 매우 중요하다. 이러한 중요성을 인식하고, Kim 등10)과 Kim과 Lee11)는 메탄과 가연한계가 유사하다고 보고된 28%의 암모니아 크래킹 비율 및 메탄과 층류 화염 특성이 유사하다고 보고된 43%의 암모니아 크래킹 비율에서 폭발특성을 조사하였다. 또한, Kim 등12)은 다양한 암모니아 크래킹 비율에서 폭발특성을 조사하였고, 슐리렌 이미지를 통해 가시적으로 확인할 수 있는 불안정성에 대해 다루었다. 또한, 열손실이 주요 폭발특성 인자에 미치는 영향을 확인하였다.
이와 같이 탄화수소 기반 산업 시스템에 적용 가능한 암모니아 크래킹 연료의 폭발특성에 관한 연구는 최근 활발히 진행되고 있으나, 해당 분야에 대한 체계적이고 심층적인 분석은 여전히 부족한 실정이다. 특히, 진행된 이전 연구들은 상압 조건에서만 진행되거나 좁은 당량비 범위에서만 조사되었다는 한계점이 존재한다. 또한, 기존 산업 시스템에 널리 적용되고 있는 메탄 연료와의 비교 및 분석이 미흡하다는 점이 있다. 따라서, 본 연구에서는 메탄과 층류 화염 특성이 유사한 암모니아 크래킹 비율(40% 암모니아/45% 수소/15% 질소)에서의 폭발특성을 다음과 같은 조건에서 실험적으로 조사하였다. 당량비는 0.7부터 1.3까지 0.1 간격으로 설정하였고, 초기 압력은 상압 조건에서 최대 5 bar까지 설정하였다. 또한, 본 연구에서는 기존 탄소 연료로 가장 널리 사용되었던 NG 가스 연료의 주성분인 메탄 연료의 폭발특성도 직접 조사하여, 메탄과 암모니아 크래킹 연료의 폭발특성을 정량적으로 비교하고 분석하여 정리하였다.
2. 실험 설정
2.1 연료 조성비
본 연구에서 사용된 암모니아 크래킹 모사연료는 암모니아, 수소, 질소로 구성된다. 연구에는 모두 99.999%의 고순도 가스를 사용하여 실험의 정확성을 높이고자 하였다. 암모니아 크래킹 비율(ammonia cracking ratio)인, α(이하, α라 칭함)는 아래의 식 (1)로 정의되고 질량분율을 사용하여 크래킹 비율을 정의하였다8). 여기서, Yi는 연료 중 화학종 i의 질량분율을 의미한다. 또한, 식 (1)의 정의에 따라 부분 크래킹된 암모니아의 연소방정식은 식 (2)로 표현된다8). 식 (1)과 식 (2)에 의해, 본 연구에서 진행한 α = 43%인 조건은(40% 암모니아/45% 수소/15% 질소) 메탄–공기 화염의 층류화염 특성과 유사한 조건이다9).
| (1) |
| (2) |
2.2 실험 장치 및 방법
본 연구에 사용된 원통형 정적연소기를 Fig. 1에 도시하였다. 연소기의 내부 직경(D)과 길이(L)는 각각 200 mm와 220 mm (L/D = 1.1)이다. 연소기 내부에 설치된 2개의 텅스텐 전극봉으로 내부 혼합기의 점화를 진행하였다. 연소기 상단에는 전자 압력계(Lab DMM; AEP transducers, Cognento, Italy, accuracy ≤ ±0.5%)와 압력 센서(Kistler 601CAA; Kistler, Winterthur, Switzerland, accuracy ≤ ±0.5%)를 장착하여, 연소기 내부의 압력과 폭발 시 압력 거동을 측정하였다. 또한, 실험의 정확성을 위해 미세 조절 밸브를 설치하여 연료를 연소기 내부에 정밀하게 공급하였다. 실험의 신뢰성을 확보하기 위해 각 실험 조건에 대해 7회 반복하여 실험을 진행하였다. 그래프에 제시된 데이터는 반복 실험 결과의 평균값을 나타내며, 오차막대는 해당 조건에서 측정된 최댓값과 최솟값을 의미한다. 실험방법에 대한 자세한 내용은 이전 연구를 통해 확인할 수 있다10).
2.3 주요 폭발특성 인자
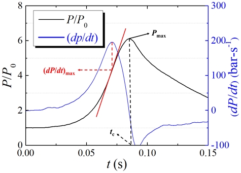
연소기에 점화에너지가 공급되면 화염이 전파하면서 압력이 급속도로 상승하게 된다. 이 과정을 압력 센서를 이용하여 시간에 따른 압력 데이터인 압력 이력(pressure history)을 얻는다. 취득한 압력 이력을 통해 다음과 같은 여러 폭발특성 인자를 얻을 수 있다. 본 연구에서 사용된 인자는 최대 폭발 압력(maximum explosion pressure, Pmax), 폭발 시간(explosion time, tc), 최대 압력 상승률(maximum rate of pressure rise, (dp/dt)max), 폭발 지수(explosion index, KG) 등이 있으며, 이러한 인자들은 폭발특성 파악에 필수적이다.
Fig. 2는 무차원한 압력(Y축의 좌측에 표기)과 압력 상승률(Y축의 우측에 표기)을 시간에 따라 나타낸 압력 이력 그래프이다. 여기서 P는 폭발 압력, P0는 혼합기의 초기 압력을 의미한다. Pmax는 실험을 통해 얻은 폭발 시 발생하는 압력의 최댓값으로 정의된다13). 그러나, 실험을 통해 측정한 폭발 압력은 열전도, 대류 및 복사 등으로 인한 열손실 때문에 단열 평형 압력보다 상당히 낮은 값을 가진다고 보고된다14). 압력 이력 그래프에서 tc는 점화에너지가 공급된 이후부터 최대 폭발 압력까지 도달하는 시간을 의미한다13). 또한, 열방출률과 열손실이 같아지는 순간이다15). 압력상승률(dp/dt)은 시간-압력 곡선의 기울기를 통해 얻을 수 있는데, 압력상승률의 최댓값을 통해 KG를 구할 수 있다. 본 연구에서 취득한 압력 데이터는 Savitzky-Golay 방법16)으로 처리하였고, 이와 관련된 상세한 내용은 이전 연구에 기술하였다10).
3. 결과 및 고찰
3.1 폭발 압력
이전 연구에서 조사된 조건은 상압 조건에서 당량비 0.8부터 1.3까지로 제한되었지만11), 본 연구에서는 더 넓은 당량비 구간인 0.7부터 1.3까지 조사하였으며, 초기 압력을 1 bar에서 5 bar까지 증가시켜 초기 압력에 따른 영향도 다루었다. 또한, 메탄 연료의 폭발특성도 직접 조사하여 이를 암모니아 크래킹 연료와 정량적으로 비교하고 분석하여 정리하였다.
Fig. 3은 α = 43%인 조건과 메탄–공기 예혼합화염의 Pmax를 기준압(P0)으로 무차원시킨 그래프이다. 메탄–공기 예혼합화염의 Pmax는 당량비가 증가함에 따라 증가하다가 당량비 1.0에서 최댓값을 가진다. 이후 당량비가 과농한 조건으로 접근할수록 점차 감소하는 경향을 보인다. 특히, 당량비가 희박한 구간(Ф = 0.7)에서 Pmax의 값이 급격하게 감소하는 것을 통해 메탄-공기 예혼합화염이 α = 43%인 조건에 비해 당량비의 영향을 많이 받는다는 것을 확인할 수 있다. 본 연구에서는 당량비의 영향을 정량적으로 파악하기 위하여 절대편차 기준으로 모든 값이 평균 대비 몇 % 범위 내에 분포하는지 수치적으로 평가하여 나타내었다. α = 43% 조건에서는 절대편차 기준으로 모든 Pmax 값이 평균 대비 ±11.8% 범위 내에 분포하였지만, 메탄–공기 예혼합화염에서는 모든 Pmax값이 ±33.8% 범위 내에 분포하였다. 또한, 초기 압력이 5 bar로 증가함에 따라 α = 43% 조건은 ±11.6%, 메탄–공기 예혼합화염은 ±48.1 범위 내에 분포하였다. 따라서, 크래킹 연료인 α = 43%인 조건이 메탄 연료에 비해 당량비에 따른 영향이 적다는 것을 수치적으로도 확인할 수 있다.
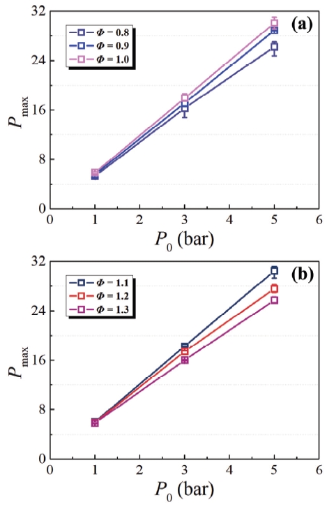
Fig. 4는 당량비에 따른 Pmax를 나타낸 그래프이다(여기서, Fig. 4의 모든 Y축은 게이지 압력을 의미함). Fig. 4(a) 그래프는 α = 43%인 크래킹 연료에서 초기 압력별 당량비에 따른 Pmax값을 나타낸 그래프이다. 이 그래프의 당량비가 1.1인 조건에서 초기 압력이 1 bar를 기준으로 3 bar와 5 bar로 증가함에 따라 폭발 압력은 각각 200%와 400%로 증가하였다. 이러한 이유는 동일한 체적에서 초기 압력이 증가함에 따라 혼합물에 포함되어 있는 연료 압력이 증가하기 때문이다. Fig. 4(b)와 Fig. 4(c)에는 각각 초기 압력이 3 bar와 5 bar일 때, α = 43%인 조건의 Pmax와 메탄–공기 예혼합화염의 Pmax를 비교하였다. Fig. 4(b)와 Fig. 4(c)를 통해 α = 43%인 조건이 메탄–공기 예혼합화염에 비해 상대적으로 당량비의 영향을 적게 받는 것을 확인할 수 있다. 또한, Fig. 3과 Fig. 4(b), 4(c)의 이론/과농 당량비 구간(Ф ≥ 1.0)에서는 α = 43%인 조건이 메탄–공기 예혼합화염과 유사한 값을 가지는 것으로 조사되었지만, 희박한 당량비 구간(Ф ≤ 0.9)에서는 α = 43%인 조건이 메탄–공기 예혼합화염에 비해 더 큰 값을 가지는 것으로 조사되었다.
Fig. 5는 초기 압력에 따른 α = 43% 조건의 Pmax를 나타낸 그래프이다. Fig. 5(a)와 Fig. 5(b)를 통해 초기 압력이 증가함에 따라 Pmax가 선형적으로 증가하는 것을 확인할 수 있다. 또한, 초기 압력이 1 bar에서 5 bar로 증가함에 따라 당량비 1.1에서는 대략 400% 정도 증가하였고, 당량비 1.3에서는 대략 340% 정도 증가하였다. 이러한 결과를 종합하면, 0.8–1.3 당량비 구간의 43% 크래킹된 암모니아의 Pmax는 초기 압력을 5 bar로 증가시키면, 1 bar 조건의 Pmax 대비 약 300%에서 400% 정도 증가하는 것으로 나타났다.
3.2 압력 곡선
시간에 따른 압력 곡선은 모든 조건에서 다음과 같은 유사한 경향을 보인다. 혼합기 내 반응물의 농도는 당량비가 증가함에 따라 증가한다. 이러한 이유로 인해 연료 혼합물의 발열량이 증가하고, 연소가 진행되는 과정에서 압력이 더욱 빠르게 증가하면서 Pmax가 증가한다. 화학양론적 조건보다 더 높은 조건까지 당량비가 증가하게 되면 연료가 과도하게 공급되어 압력 증가율이 감소하고 연소가 불완전해진다4).
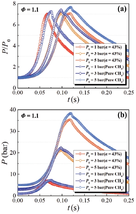
Fig. 6에 α = 43%인 조건의 압력-시간 곡선과 메탄–공기 예혼합화염의 압력-시간 곡선을 초기 압력에 따라 나타내었다(여기서, Fig. 6(a)의 Y축은 무차원시킨 폭발 압력을 의미하고, Fig. 6(b)의 Y축은 폭발 압력을 의미함). Fig. 6(a)는 기준압(P0)으로 무차원시킨 폭발 압력으로, 초기 압력이 증가하여도 peak 값의 변화가 거의 없는 것을 보여준다. 이는 무차원시킨 폭발 압력은 초기 압력의 영향을 거의 받지 않는다는 것을 보여준다. Fig. 6(b)를 통해 초기 압력이 1 bar에서 3 bar와 5 bar로 증가함에 따라 폭발 압력은 각각 200%와 400% 정도 증가하는 것을 확인할 수 있다. 이는 앞서 Fig. 4(a)에서 설명하였듯이, 동일한 체적일 때 초기 압력이 높으면 혼합물의 질량이 더 크고 발생하는 열방출이 더 많아지기 때문이다.
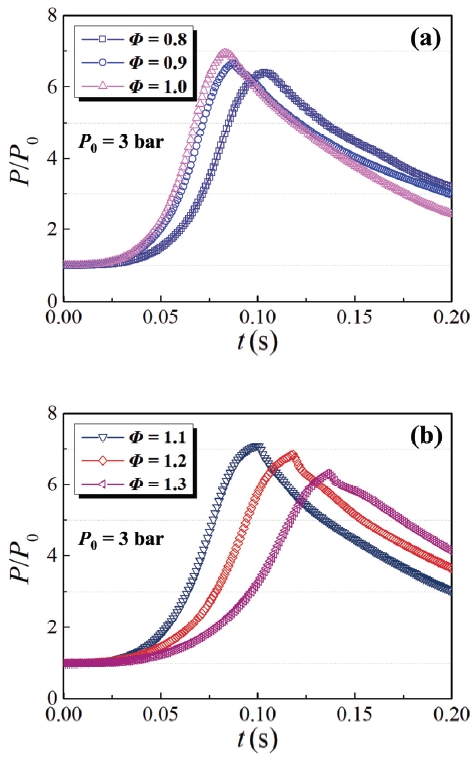
Fig. 7은 초기 압력 3 bar에서 α = 43% 조건에 대해 무차원시킨 압력-시간 곡선을 보여준다. Fig. 4(b)에서 볼 수 있듯이, 당량비 1.1 근처에서 폭발 압력이 최댓값을 가지는 것을 확인할 수 있다. 또한, Fig. 2에서 대표적으로 보여준 시간에 따른 압력상승률 (dp/dt) 기울기 표시에서 희박 당량비 구간과 과농 당량비 구간은 당량비 1.1 근처에 비해 (dp/dt)max가 감소하는 경향을 보였으며, 이러한 현상은 희박한 당량비 조건에 근접할수록 더욱 명확해지는 것을 볼 수 있다.
3.3 폭발 지수
폭발로 인한 사고가 발생하게 되면 인명 피해, 화재, 유해 물질 방출, 경제적 손실 등 여러 2차 피해가 발생하여 사고의 심각도가 다른 사고들에 비해 큰 편이다. 그러므로, 폭발의 심각성을 완화시키는 기술 및 안전 장비의 설계에 매우 중요한 지수 중 하나인 KG를 파악하는 것은 매우 중요하다. KG는 아래의 식 (3)을 통해 정의되는데, Savitzky-Golay 방법16)으로 결정된 (dp/dt)max와 연소기 체적(V)의 세제곱근을 곱한 값에 의해 구할 수 있다2,17,18).
| (3) |
KG는 폭발의 견고성을 나타내며, KG가 높을수록 폭발이 더욱 강력해지고 폭발의 결과가 더욱 심각해진다. 암모니아 크래킹 연료는 크래킹 비율에 따라 암모니아, 수소, 질소의 비율이 조정되는데, 본 연구의 α = 43%인 조건은 연료 중 수소 비율이 45%를 차지하고 있다. 특히, 수소는 KG의 값이 매우 크고, 넓은 가연한계를 가지고 있기에 폭발 시 사고의 위험성이 매우 크다. 따라서, 설비 산업 시스템에 적용하기 위해 안전성 측면에서 43% 크래킹된 암모니아–공기 예혼합화염의 KG 파악은 매우 필수적이다.
Fig. 8은 α = 43%인 조건과 메탄–공기 예혼합화염의 당량비에 따른 압력별 KG를 보여준다. Fig. 8에서 α = 43% 조건의 KG는 Fig. 3의 당량비에 따른 Pmax의 그래프와 유사하게 당량비가 증가함에 따라 증가하다가 당량비 1.0 부근에서 최댓값을 가진 후, 당량비가 과농한 조건으로 접근할수록 점차 감소하는 경향을 보인다. 또한, Fig. 3에서 α = 43%인 조건과 메탄–공기 예혼합화염의 당량비에 따른 Pmax 값을 수치적으로 평가한 방법과 마찬가지로 KG 값도 동일한 방법으로 평가하였다. 대표적으로, 1 bar 조건에서 α = 43% 조건은 절대편차 기준으로 모든 값이 평균 대비 ±33.5% 범위 내에 분포하였고, 메탄–공기 예혼합화염은 ±61.3% 범위 내에 분포하였다. 마찬가지로, 초기 압력이 5 bar로 증가함에 따라 α = 43% 조건은 절대편차 기준으로 모든 값이 평균 대비 ±34.5% 범위 내에 분포하였고, 메탄–공기 예혼합화염은 ±67.5 범위 내에 분포하였다. 이는 당량비에 따른 KG값의 비교를 통해서도 확인할 수 있듯이, α = 43%인 조건이 메탄–공기 예혼합화염에 비해 당량비에 민감하지 않다는 것을 파악할 수 있다. 앞서 설명한 3.1절의 Fig. 3에서는 α = 43%인 조건이 메탄–공기 예혼합화염에 비해 Pmax가 비슷하거나 더 낮은 값을 가지는 경향을 보였다. 이와는 대조적으로, Fig. 8에서는 같은 조건에서 α = 43%인 조건은 메탄–공기 예혼합화염에 비해 KG가 비슷하거나 더 높은 값을 가지는 것을 확인할 수 있다. 이와 같이, Pmax값에 비해 KG값이 역전되는 현상의 원인은 층류 연소속도가 빠르기 때문으로 이해된다. 즉, 층류 연소속도의 영향으로 인해 α = 43%인 조건의 (dp/dt)max값이 메탄–공기 예혼합화염의 (dp/dt)max값보다 크기 때문에 나타난 현상으로 이해된다. 이전 연구에서도 마찬가지로 KG의 중요한 인자인, (dp/dt)max는 단열 폭발 압력과 층류 연소속도에 비례한다고 보고되었다19).
Fig. 9(a)와 Fig. 9(b)는 각각 희박 및 과농 당량비 구간의 초기 압력에 따른 KG를 보여준다. KG는 Fig. 5의 Pmax와 마찬가지로 초기 압력이 증가함에 따라 선형적으로 증가하는 것을 볼 수 있다. 특히, 과농한 당량비 구간에 비해 희박한 당량비 구간의 그래프 기울기가 더욱 급격하게 증가하는 것을 볼 수 있는데, 이는 α = 43%인 조건일 때 희박한 당량비 구간이 상대적으로 압력상승률이 더 크기 때문으로 판단된다. 이는 Fig. 7(a)의 압력-시간 곡선 그래프에서도 확인할 수 있다.
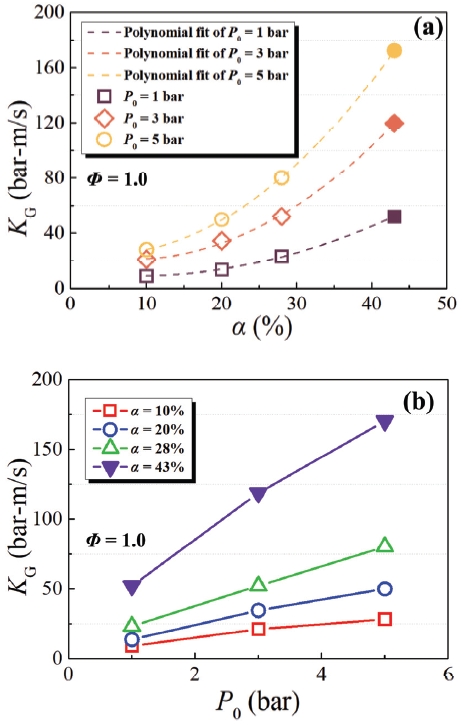
Fig. 10은 이전 연구의 실험값과 본 연구에서 얻은 실험값을 비교하여 나타낸 그래프이다. Kim 등10)은 암모니아 크래킹 비율인 α = 10%, 20%, 28%일 때 초기 압력 1, 3, 5 bar에서 KG를 비교하였다(여기서, α = 10%, α = 20%, α = 28%는 각각 연료 중 수소 비율이 14%, 25%, 33%임). 이를 α = 43%인 조건의 본 연구의 실험값과 비교하여 Fig. 10에 나타내었다(여기서, 도형 내부가 색칠되어 있는 조건은 본 연구에서 조사한 조건이고, 도형 내부가 색칠되어 있지 않은 조건은 이전 연구의 실험값임). Fig. 10(a)에서 Kim 등10)은 동일한 체적 내에서 α가 증가할수록 연료 중 수소 비율이 높아져 KG가 증가한다고 보고하였다. 마찬가지로, 본 연구의 α = 43%인 조건의 실험값을 통해 암모니아 크래킹 비율이 증가할수록 KG가 지수적으로 증가하는 것을 확인하였다. 또한, 이러한 현상은 초기 압력이 증가할수록 더욱 명확해지는 것을 확인할 수 있다. Fig. 10(b)을 통해 초기 압력이 증가할수록 모든 크래킹 비율에서 KG가 선형적으로 증가하는 것을 확인하였다. 이전 연구의 실험값인 α = 10%, 20%, 28% 조건에 비해 본 연구의 α = 43% 조건인 경우에서 그래프의 기울기가 더욱 급격하게 증가하는 것을 볼 수 있다. 이는 α = 43%인 조건이 연료 중 수소 비율이 45%나 되기 때문에 크래킹 연료 중 수소 비율의 차이로 이러한 현상이 나타난다고 이해된다.
3.4 폭발 시간
tc는 열방출의 중요한 지표로서 연소 장치의 안전성을 평가하거나 설계할 때 매우 중요한 인자이다20). 이전 연구에서 tc는 층류 연소속도와 밀접한 관련이 있다고 보고되었다. 또한, 희박 당량비 구간에서는 연료 부족으로 인해 층류 연소속도가 감소하여 tc가 증가하고, 과농 당량비 구간에서는 산화제의 부족으로 층류 연소속도가 감소하여 tc가 증가한다고 보고되었다4). 이러한 경향은 본 연구의 실험 결과와 유사하였다.
Fig. 11은 α = 43%인 조건과 메탄–공기 예혼합화염의 tc를 보여주고 있다. Fig. 11을 통해, 이전 연구 결과에서 보고된 바와 유사하게 Ф = 1.0을 기준으로 희박 당량비 구간과 과농 당량비 구간에서 tc가 증가하는 경향을 확인할 수 있었다. 3.3절 Fig. 8에서 층류 연소속도의 차이로 인해 α = 43%인 조건이 메탄–공기 예혼합화염에 비해 비슷하거나 더 높은 KG를 가졌고, Fig. 11에서도 층류 연소속도의 차이로 인해 α = 43%인 조건이 메탄 화염보다 tc가 더 짧은 것을 확인할 수 있다. 앞서 당량비에 따른 Pmax와 KG값을 수치적으로 평가한 방법과 동일한 방법으로 tc를 평가한 결과, 1 bar 조건에서 α = 43% 조건은 절대편차 기준으로 모든 값이 평균 대비 ±38.8% 범위 내에 분포하였고, 메탄–공기 예혼합화염은 ±80.9% 범위 내에 분포하였다. 또한, 초기 압력이 5 bar로 증가함에 따라 α = 43% 조건은 ±31.4% 범위 내에 분포하였고, 메탄–공기 예혼합화염은 Ф = 0.7 조건을 제외하고 ±54.2% 범위 내에 분포하였다. Fig. 3, Fig. 8, Fig. 11과 같은 이러한 결과는 α = 43% 조건의 폭발특성이 메탄–공기 예혼합화염의 폭발특성에 비해 당량비에 민감하지 않다고 파악된다. Fig. 11의 그래프를 통해 이론/과농 당량비 구간(Ф ≥1.0)에서는 메탄–공기 예혼합화염과 폭발 시간이 유사한 것을 볼 수 있다. 이러한 경향은 Fig. 3의 Pmax와 Fig. 8의 KG 그래프에서도 확인할 수 있는데, 이는 이론/과농 당량비 구간(Ф ≥1.0)에서 α = 43%인 조건과 메탄–공기 예혼합화염의 폭발특성이 매우 유사하다는 것으로 분석된다.
Fig. 12에는 α = 43%인 조건의 초기 압력에 따른 폭발시간 tc를 나타내었다. 초기 압력이 증가할수록 tc가 증가하는 경향을 보였고, 특히 과농 당량비 구간에서 이러한 현상이 더욱 선명하게 나타났다. 초기 압력이 증가함에 따라 tc가 증가하는 현상은 초기 압력이 증가하면 미연가스의 밀도가 증가하여 층류 연소속도가 감소하고, Pmax까지 도달하는 시간이 지연되어 결과적으로 tc가 증가하는 것으로 판단된다.
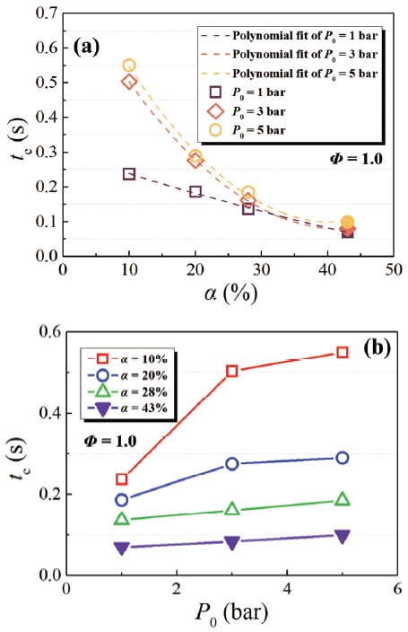
Fig. 13은 Kim 등10)이 조사한 결과와 본 연구에서 조사된 결과를 비교한 그래프이다(여기서, 도형 내부가 색칠되어 있는 조건은 본 연구에서 조사한 조건이고, 도형 내부가 색칠되어 있지 않은 조건은 이전 연구의 조건임). Fig. 13에는 암모니아 크래킹 비율과 초기 압력 변화에 따른 암모니아 크래킹 연료의 tc를 나타내었다. Kim 등10)은 크래킹 비율이 증가하면 연료 중 수소 비율이 증가하여 수소의 빠른 연소속도 증가분으로 인해 tc가 단축되고, 초기 압력이 증가하면 tc가 증가한다고 보고하였다. 이러한 현상은 α = 43%인 본 연구의 실험 조건에서 더욱 명확하게 나타났다. 또한, 3.1절의 Pmax, 3.2절의 KG와 마찬가지로 tc는 초기 압력이 증가함에 따라 선형적으로 증가하는 것을 파악할 수 있다. 하지만, α = 10%인 조건은 초기 압력이 3 bar로 증가함에 따라 다른 조건들에 비해 급격하게 tc가 증가하는 경향을 보인다. α = 10%인 조건은 연료 중 암모니아 비율이 82%나 되기 때문에 다른 크래킹 연료들에 비해 암모니아의 낮은 연소속도의 영향이 지배적일 것으로 판단된다. 따라서, 암모니아 함량의 영향과 초기 압력 증가로 인한 영향이 복합적으로 작용하여 층류 연소속도가 감소하고 tc가 증가한 것으로 분석된다.
4. 결 론
본 연구는 이전 문헌에서 암모니아 크래킹 연료(α = 43%인 조건)가 메탄–공기 예혼합화염과 유사한 층류 화염 특성을 나타낸다고 보고된 점에 주목하여, 안전성 관점에서 해당 조건의 폭발 위험도를 체계적으로 조사하였다. 그러나 본 연구에서는 두 연료 간 폭발 거동에서 일부 차이가 관찰되었으며, 이러한 차이를 보다 명확히 이해하기 위해 동일 조건에서 메탄–공기 예혼합화염의 폭발 위험도를 병행 조사하여 비교·분석하였다. 특히, 다양한 당량비와 초기 압력 조건에서 두 연료의 폭발특성을 정량적으로 평가하였다. 이러한 분석 결과는 암모니아 크래킹 연료로 전환 시 폭발 안전성을 보장하기 위한 기초자료로 활용될 수 있으며, 본 연구에서 조사된 결과를 통해 다음과 같은 결론을 도출하였다.
- 1) 이론/과농 당량비 구간(Ф ≥1.0)에서는 크래킹 비율이 α = 43% 조건의 폭발특성 인자들과 메탄–공기 예혼합화염의 폭발특성 인자들이 유사한 값을 가지는 것으로 확인되었지만, 희박한 당량비 구간(Ф ≤ 0.8)으로 인해, α = 43% 조건이 메탄–공기 예혼합화염에 비해 당량비에 상대적으로 민감하지 않은 것을 정량적으로 확인하였다.
- 2) 크래킹 비율이 α = 43%인 조건의 Pmax는 메탄–공기 예혼합화염에 비해 비슷하거나 더 낮은 값을 가졌다. 반면에, α = 43%인 조건의 KG는 수소의 연소 특성으로 인해 (dp/dt)가 증가하여, 메탄–공기 예혼합화염에 비해 더 높은 값을 가졌다.
- 3) 본 연구에서 조사한 모든 당량비 구간에서 초기 압력이 증가함에 따라 α = 43%인 조건의 Pmax, KG, tc는 선형적으로 증가하는 경향을 보였다.
- 4) 초기 압력이 증가함에 따라 연소속도가 감소하여 tc가 증가하였다.
Acknowledgments
이 논문은 2025학년도 국립순천대학교 글로컬대학 사업비의 지원을 받아 연구되었음.
References
-
A. Valera-Medina, H. Xiao, M. Owen-jones, W. I. F. David, and P. J. Bowen, “Ammonia for power”, Progress in Energy and Combustion Science, Vol. 69, 2018, pp. 63-102.
[https://doi.org/10.1016/j.pecs.2018.07.001]
-
D. A. Crowl and Y. D. Jo, “The hazards and risks of hydrogen”, Journal of Loss Prevention in the Process Industries, Vol. 20, No. 2, 2007, pp. 158-164.
[https://doi.org/10.1016/j.jlp.2007.02.002]
-
J. Kim and K. Lee, “Numerical study on the NH3/CH4 symmetric premixed counterflow flames Part II: investigation of flame structure and reaction path”, Journal of Hydrogen and New Energy, Vol. 34, No. 6, 2023, pp. 748-757.
[https://doi.org/10.7316/JHNE.2023.34.6.748]
-
Y. Li, M. Bi, B. Li, Y. Zhou, L. Huang, and W. Gao, “Explosion hazard evaluation of renewable hydrogen/ammonia/air fuels”, Energy, Vol. 159, 2018, pp. 252-263.
[https://doi.org/10.1016/j.energy.2018.06.174]
-
A. Katoch, T. F. Guiberti, D. V. de Campos, and D. A. Lacoste, “Dual-fuel, dual-swirl burner for the mitigation of thermoacoustic instabilities in turbulent ammonia-hydrogen flames”, Combustion and Flame, Vol. 246, 2022, pp. 112392.
[https://doi.org/10.1016/j.combustflame.2022.112392]
-
F. J. Verkamp, M. C. Hardin, and J. R. Williams, “Ammonia combustion properties and performance in gas-turbine burners”, Symposium (International) on Combustion, Vol. 11, 1967, pp. 985-992.
[https://doi.org/10.1016/S0082-0784(67)80225-X]
-
B. Mei, J. Zhang, X. Shi, Z. Xi, and Y. Li, “Enhancement of ammonia combustion with partial fuel cracking strategy: laminar flame propagation and kinetic modeling investigation of NH3/H2/N2/air mixtures up to 10 atm”, Combustion and Flame, Vol. 231, 2021, pp. 111472.
[https://doi.org/10.1016/j.combustflame.2021.111472]
-
N. N. Shohdy, M. Alicherif, and D. A. Lacoste, “Transfer functions of ammonia and partly cracked ammonia swirl flames”, Energies, Vol. 16, No. 3, 2023, pp. 1323.
[https://doi.org/10.3390/en16031323]
-
S. Wiseman, M. Rieth, A. Gruber, J. R. Dawson, and J. H. Chen, “A comparison of the blow-out behavior of turbulent premixed ammonia/hydrogen/nitrogen-air and methane–air flames”, Proceedings of the Combustion Institute, Vol. 38, No. 2, 2021, pp. 2869-2876.
[https://doi.org/10.1016/j.proci.2020.07.011]
-
I. Kim, S. H. Cho, and K. Lee, “Explosion characteristics of partially cracked ammonia fuel”, Journal of the Korean Society of Combustion, Vol. 29, No. 2, 2024, pp. 44-53.
[https://doi.org/10.15231/jksc.2024.29.2.044]
-
I. Kim and K. Lee, “Explosion characteristics of 43% ammonia cracking simulated fuel using a constant-volume chamber”, Journal of Hydrogen and New Energy, Vol. 35, No. 5, 2024, pp. 506-514.
[https://doi.org/10.7316/JHNE.2024.35.5.506]
-
M. Kim, I. Kim, and K. Lee, “Explosion characteristics of hydrogen (ammonia) fuel with various cracking ratios for power generation”, Journal of the Korean Society of Combustion, Vol. 30, No. 4, 2025, pp. 49-57.
[https://doi.org/10.15231/jksc.2025.30.4.049]
-
D. Razus, C. Movileanu, V. Brinzea, and D. Oancea, “Explosion pressures of hydrocarbon-air mixtures in closed vessels”, Journal of Hazardous Materials, Vol. 135, No. 1-3, 2006, pp. 58-65.
[https://doi.org/10.1016/j.jhazmat.2005.10.061]
-
C. Tang, S. Zhang, Z. Si, Z. Huang, K. Zhang, and Z. Jin, “High methane natural gas/air explosion characteristics in confined vessel”, Journal of Hazardous Materials, Vol. 278, 2014, pp. 520-528.
[https://doi.org/10.1016/j.jhazmat.2014.06.047]
-
Y. Xie, J. Wang, X. Cai, and Z. Huang, “Pressure history in the explosion of moist syngas/air mixtures”, Fuel, Vol. 185, 2016, pp. 18-25.
[https://doi.org/10.1016/j.fuel.2016.07.072]
-
A. Savitzky and M. J. E. Golay, “Smoothing and differentiation of data by simplified least squares procedures”, Analytical Chemistry, Vol. 36, No. 8, 1964, pp. 1627-1639.
[https://doi.org/10.1021/ac60214a047]
-
T. Wang, P. Yang, W. Yi, Z. Luo, F. Cheng, X. Ding, X. Kang, Z. Feng, and J. Deng, “Effect of obstacle shape on the deflagration characteristics of premixed LPG-air mixtures in a closed tube”, Process Safety and Environmental Protection, Vol. 168, 2022, pp. 248-256.
[https://doi.org/10.1016/j.psep.2022.09.079]
-
A. S. Huzayyin, H. A. Moneib, M. S. Shehatta, and A. M. A. Attia, “Laminar burning velocity and explosion index of LPG–air and propane–air mixtures”, Fuel, Vol. 87, No. 1, 2008, pp. 39-57.
[https://doi.org/10.1016/j.fuel.2007.04.001]
-
H. Deng, C. Xu, Y. Liu, N. Wu, Z. Fan, F. Oppong, and X. Li, “Study of the explosive behaviour of NH3/H2/air mixtures”, International Journal of Hydrogen Energy, Vol. 80, 2024, pp. 632-645.
[https://doi.org/10.1016/j.ijhydene.2024.07.089]
-
Q. Li, Y. Cheng, and Z. Huang, “Comparative assessment of the explosion characteristics of alcohol–air mixtures”, Journal of Loss Prevention in the Process Industries, Vol. 37, 2015, pp. 91-100.
[https://doi.org/10.1016/j.jlp.2015.07.003]












