
수소 액화기 용기 압력에 따른 액체 수소 온도 보정에 관한 분석적 연구
2026 The Korean Hydrogen and New Energy Society. All rights reserved.
Abstract
This study investigates temperature compensation of liquid hydrogen (LH2) in a condensation-type liquefier vessel under varying pressure conditions. Cryogenic temperature sensors were used to monitor thermal behavior, and the measured temperatures followed the expected pressure-dependent trend but showed constant offsets from theoretical saturation values due to calibration issues. Simple empirical corrections effectively removed these offsets, and the corrected data matched the theoretical saturation temperatures, confirming that the liquefaction process followed thermodynamic predictions. These results demonstrate that accurate and reliable temperature measurements can be achieved after calibration, enabling improved analysis of LH2 production, inventory estimation, and storage stability, while also providing a practical basis for application to larger liquefaction systems.
Keywords:
Liquid hydrogen, Liquefaction system, Pressure, Temperature, compensation키워드:
액체 수소, 액화 시스템, 압력, 온도, 보정1. 서 론
액체수소는 높은 에너지 밀도와 장거리 운송 가능성으로 인해 차세대 에너지 매체로 각광받고 있으며, 이를 위한 효율적인 생산 및 저장 시스템의 설계와 최적화는 핵심적인 연구 분야로 자리 잡고 있다. 기존 연구들은 Claude, Brayton, Hybrid 사이클 등 다양한 냉동 사이클을 적용하여 에너지 소비를 줄이고 액화 효율을 높이는 방법을 제시해 왔다1,2). 또한 저장 용기의 단열 성능 향상과 열 침투 최소화는 액체수소 장기 저장의 안정성과 경제성 확보에 중요한 과제이다. 이러한 설계 및 최적화 연구는 수소 액화기의 기본 성능뿐만 아니라, 압력 변화에 따른 내부 열역학적 특성을 해석하는 기반이 된다3).
액체수소는 약 20 K의 극저온 조건에서 취급되며, 저장 및 이송 과정에서 미세한 압력 변화가 온도와 밀도 특성에 크게 영향을 미친다4). 여러 선행 연구에 따르면, 동일한 저장 용기 내에서도 압력 상승에 따라 액체수소의 체적은 다른 극저온 액체에 비해 훨씬 민감하게 증가하며, 이는 저장 밀도와 안전 마진에 직접적인 영향을 준다5,6). 따라서 저장·이송 환경에서 압력-온도 상관 관계를 정밀하게 규명하는 것은 수소 인프라 구축의 안전성과 신뢰성을 보장하는 필수 조건이다7).
액체수소 시스템의 성능은 펌프, 열교환기, 예냉 장치 등 주요 구성 요소들의 특성에 크게 좌우된다. 펌프는 수소의 안정적 순환과 이송을 담당하며, 극저온 상태에서의 효율과 신뢰성 확보가 중요한 연구 주제이다8,9). 또한 예냉기는 기체 수소를 액화 온도 부근까지 안정적으로 냉각시켜 전체 시스템의 에너지 소비를 줄이는 핵심 장치로, 열전달 특성에 대한 실험적·수치적 분석이 활발히 이루어지고 있다. 이와 같은 구성 요소 성능 연구는 액화기 내부에서 발생하는 압력·온도 변화에 직접적으로 연계되며, 용기 내 액체수소의 실제 열역학적 거동을 정확히 해석하기 위한 기초 자료를 제공한다10).
극저온 환경에서 신뢰성 있는 계측 기술은 액체수소 시스템의 안정적 운용을 위해 필수적이다. 기존 연구에서는 실리콘 다이오드, 백금 저항 온도계 등 다양한 극저온 센서가 적용되어 왔으며, 이들은 기체와 액체 상태에서 서로 다른 신호 특성을 보임으로써 간접적으로 액체수소의 수위를 파악할 수 있는 방법이 제안되었다11,12). 또한, 질량유량계와 압력 센서를 결합하여 기체 공급량과 액체 생산량을 상호 검증하는 연구도 수행되어 왔다. 이러한 측정 기술 연구는 압력 변화에 따른 액체수소 온도 보정을 위한 기초 데이터를 제공하며, 나아가 액체수소 저장용기 내부의 열역학적 상태를 정밀하게 규명하는 핵심 기반이 된다13,14).
액체수소의 저장 및 운송 환경에서 온도 계측은 시스템 안정성을 확보하기 위한 핵심 요소로, 이에 대한 다양한 연구가 진행되어 왔다. Schmitt와 Dreyer15)는 미세중력 조건에서 액체수소 자유표면의 진동 특성이 센서 신호에 미치는 영향을 분석하여, 우주 환경과 같이 특수한 조건에서 수위 및 온도 측정의 신뢰성 확보가 중요한 과제임을 밝혔다. Nakano 등16)은 해양 수소 운송을 겨냥하여 액체수소 운반선 환경을 모사하여 온도센서의 성능과 내구성을 평가하였고, 그 결과 특정 극저온 센서가 장시간 운항 조건에서도 안정적인 성능을 제공할 수 있음을 확인하였다.
최근, Nakano 등17)은 단일 센서 기반 계측의 한계를 극복하기 위해 다중 센서 배열과 데이터 융합 기법을 적용한 액체수소 온도 모니터링 시스템이 개발되었으며, 이는 선박용 액체수소 저장탱크의 안전 운항과 장기 저장 기술 확보에 기여하였다. Liu 등18)은 딥러닝 기반의 데이터 보정 기술을 적용하여 극저온 온도센서의 정밀도를 획기적으로 향상시키는 방법이 제안하였다. 이러한 연구 흐름은 극저온 온도센서 기술이 단순한 온도 측정을 넘어, 액체수소 저장 및 이송 시스템 전반의 안정성과 신뢰성을 높이는 방향으로 발전하고 있음을 보여준다.
액체수소 저장 및 운송 과정에서 온도 계측은 안전성과 효율성을 확보하기 위한 핵심 요소이지만, 실제 운전 환경에서는 압력 변화가 액체수소의 밀도와 체적뿐만 아니라 온도 신호 해석에도 직접적인 영향을 미친다. 기존 연구들은 미세중력, 해양 운송, 다중 센서 배열, 딥러닝 기반 보정 기법 등 다양한 관점에서 온도센서의 성능과 신뢰성을 향상시켜 왔으나, 대부분은 특정 환경이나 계측 기술 자체의 정밀성에 초점을 두었다. 반면, 수소 액화기 내부의 압력 변동을 고려한 온도 보정 연구는 상대적으로 부족하며, 이는 실제 액체수소 생산량 산정, 수위 계측, 저장 효율 해석에서 체계적인 오차를 유발할 수 있다. 따라서 본 연구에서는 수소 액화기 용기 압력에 따른 액체수소 온도 보정에 관한 분석적 연구를 수행하였다.
2. 액화수소 온도 측정
Fig. 1은 극저온 환경에서 사용되는 다양한 패키지 형태의 온도센서를 보여주며, 나사 체결형(MT (Metric thread), ET (Extended thread)), 블록 삽입형(BO (Bolt-on), CO (Connector option)), 원판형(CU (Cup), DI (Disc)), 원통형(CY (Cylindrical)), 러그 체결형(LR (Lug ring)) 등 여러 형식으로 구분된다. 이러한 센서들은 모두 실리콘 다이오드 기반으로 제작되어 극저온 영역에서 안정적인 응답 특성을 제공하며, 설치 목적과 위치에 따라 적합한 형태가 선택된다.
본 연구에서는 이들 가운데 CU (Cup Type) 센서를 채택하였다. CU 타입은 원판 형태로 설계되어 용기 내부의 특정 높이에 부착하기 용이하고, 접촉 면적이 넓어 액체수소에 잠길 경우 안정적이고 빠른 열적 응답을 얻을 수 있다는 장점이 있다. 또한 구조적으로 단순하여 실험 환경에서 장시간 사용 시에도 신뢰성이 높고, 기체와 액체 상태의 온도 신호 차이를 명확히 구분할 수 있다는 점에서 수위 계측에 적합하다. 따라서 본 연구에서는 CU 타입 센서를 이용하여 액체수소 저장용기의 수위를 단계적으로 측정하고, 압력 변화에 따른 온도 보정 연구의 기초 자료로 활용하였다.
Fig. 2는 압력 변화에 따른 액체수소(LH2)의 포화 온도, 밀도, 그리고 엔탈피 변화를 나타낸 것이다. 먼저 포화 온도는 압력이 증가할수록 단조 증가하는 경향을 보인다. 이는 압력이 높아질수록 액체수소가 더 높은 온도에서 액화 상태를 유지할 수 있음을 의미하며, 시스템 운전 조건에 따라 센서가 계측하는 포화 온도를 반드시 압력과 연계하여 해석해야 함을 보여준다. 반면 포화 밀도는 압력이 상승함에 따라 감소하여, 동일한 질량 기준에서 액체수소의 체적은 증가한다. 예를 들어, 대기압(1 atm, 14.696 psi) 조건에서 액체수소의 포화 온도는 약 20.27 K, 밀도는 약 70.8 kg/m³이며, 이때 엔탈피는 기준값으로 설정된 0 J/g이다. 그러나 압력이 30 psi 수준까지 상승하면 포화 온도는 약 22.5 K로 증가하고, 밀도는 약 66–67 kg/m3까지 감소하여 저장 밀도가 현저히 낮아진다. 이러한 경향은 수위 및 저장량 환산 과정에서 압력-밀도 특성을 반드시 고려해야 함을 보여준다.
또한, 엔탈피는 1 atm에서 0 J/g을 기준으로 하여 압력이 높아질수록 점차 증가한다. 이는 동일한 액체수소라 하더라도 운전 압력에 따라 에너지 준위가 달라지며, 냉각 및 예냉 장치의 열수지 해석, 그리고 BOG (boil-off gas) 예측 과정에 중요한 영향을 미친다. 따라서 본 그래프는 압력 변화가 액체수소의 물리적 특성(온도, 밀도, 및 엔탈피 등)에 동시에 영향을 미치며, 이를 무시할 경우 생산량 환산, 수위 계측, 및 시스템 효율 해석에서 체계적인 오차가 발생할 수 있음을 보여준다.
Fig. 3은 본 연구에서 구축한 소형 액화수소 시스템의 구성을 보여준다. 시스템은 크게 액화기(LH2 Liquefier)와 LN2 예냉기(Pre-cooler)로 이루어져 있으며, 예냉기를 통해 공급된 수소 기체는 열교환을 거쳐 저온으로 냉각된 후 액화기로 유입된다. 액화기 내부에는 복수의 콜드헤드(Cold head)와 히트파이프가 장착되어 수소 기체의 추가 냉각 및 액화를 담당하며, 외벽에는 다층단열재(MLI)와 액체질소 실드(LN2 shield)가 배치되어 외부 열유입을 최소화한다. 시스템 상단에는 수소 기체 공급 라인(H2 gas transfer line)과 각종 제어 및 계측 장치가 연결되어 있으며, 저장 용기 내부에는 액체수소 레벨미터와 액체질소 실드 레벨미터가 설치되어 액체 높이를 모니터링할 수 있도록 구성되었다. 본 연구에서는 액체수소 용기 내부의 수위를 단계적으로 추적하기 위해 바닥으로부터 10 cm, 17 cm, 24 cm, 및 31 cm 높이에 극저온 온도 센서를 각각 배치하였다. 이 센서들은 기체 상태와 액체 상태에서 뚜렷한 신호 차이를 보이므로, 액체수소 수위를 단계적으로 파악할 뿐만 아니라, 수소 액화기 용기 압력에 따른 액체수소 온도 보정에 관한 분석적 연구를 수행하기 위한 핵심 계측 장치로 활용되었다.
Fig. 4는 본 연구에서 수행한 제로 보일 오프(Zero Boil-Off, ZBO) 운전의 개략도를 보여준다. ZBO 운전은 액체수소 저장 과정에서 발생하는 보일오프 가스(BOG)를 외부로 방출하지 않고, 냉동기의 냉각 성능을 활용하여 용기 내부에서 재응축시킴으로써 액체수소의 질량을 안정적으로 유지하는 기술이다. 저장 용기 상부에서 압력이 증가하면 제어 로직에 의해 콜드헤드가 구동되어 발생한 BOG를 저온 표면에서 응축시킨다. 이후 압력이 설정된 범위 내로 감소하면 냉동기의 작동이 조절되어 과냉 및 과압을 방지한다. 이와 같이 냉동기의 유효 냉각능이 용기 외부에서 유입되는 열침투를 상쇄함으로써, 질량 손실이 없는 준정상 상태가 유지되며, 결과적으로 액체수소의 수위와 조성이 안정적으로 보존된다.
본 연구에서는 ZBO 운전 조건을 활용하여 온도 센서의 보정값을 도출하였다. 액체수소 수위가 일정하게 유지되는 ZBO 상태에서는, 센서가 액상에 잠긴 구간의 온도 신호가 해당 압력에서의 포화온도 𝑇sat(𝑃)에 수렴한다. 이를 이용하여 센서 출력값과 동시 계측된 압력 데이터를 매칭하고, REFPROP (NIST, Gaithersburg, MD, USA) 기반 물성치를 참값으로 설정하여 압력-의존 온도 보정을 수행하였다. 구체적으로, 측정 온도와 포화온도 간의 잔차를 분석하여 정합도가 개선하였다. 따라서, ZBO 기술은 단순히 보일오프 가스를 제어하는 기능을 넘어, 액체수소 온도 센서의 보정 데이터 확보와 압력-의존 물성 해석의 정확도를 향상시키는 기반으로 활용될 수 있음을 확인하였다.
ZBO 운전에서는 액체 수소 수위가 유지되므로, 센서가 액상에 잠긴 구간의 온도 신호는 해당 순간 압력 P에서의 포화온도 Tsat(P)에 수렴한다고 판단하였다. 본 연구는 이 특성을 이용해 다음 절차로 온도 보정 곡선을 구축하였다.
- 1. ZBO 구간만 선택 (Cryocooler OFF 구간)
- 2. 각 센서의 측정 온도 Tmeas와 동시 측정 압력 P를 매칭
- 3. REFPROP 기반 Tsat(P)를 참값으로 두고 오프셋/감도를 식별(Tcorr=Tmeas+f(P))
- 4. 보정 후, 기체 구간과 액체 구간의 경계 판별 임계값을 Tsat(P) 대비 잔차 기준으로 재정의하여 액면 인식의 신뢰도를 향상
이 접근 방식은 수위가 변해 생기는 열용량 및 대류 효과를 배제한 압력 단일 변수 보정을 가능하게 하며, 본 시스템에서는 ZBO 구간을 사용했을 때 센서 간 편차가 유의하게 감소하고, 이론 물성치와 정합이 개선될 수 있다. 따라서, ZBO로 액체 상태를 안정 유지한 덕분에 얻은 측정값을 기준 삼아 압력에 의존한 온도 보정을 수행할 수 있고, 이는 액면 추적, 생산량 환산, 열수지 해석 등의 정밀도를 함께 향상시키는 것이 가능하다.
3. 결과 및 고찰
Fig. 5는 ZBO 운전에서의 압력–온도 응답을 시간에 대해 나타낸 것이다. 크라이오쿨러 OFF 구간에서는 외부 열침투로 인해 보일오프 가스가 증가하며 용기 압력이 약 23 psi에서 30 psi로 상승하고, 바닥으로부터 10, 17, 24, 31 cm인 네 개의 액체 수소 온도도 동일 위상으로 약 1.2–1.5 K 상승한다. 반대로 ON 구간에서는 재응축이 진행되어 압력이 하강하고 온도도 함께 감소한다. 깊이별 온도 차이는 전 구간에서 ±0.1–0.2 K 이내로 작아 수직 성층이 크지 않음을 보여준다. 온도 곡선이 압력 곡선과 거의 유사한 형태로 움직이는 점은 액상이 포화 근처 준정상 거동을 보이며, ZBO 제어 밴드 내에서 압력 상승으로 인한 포화온도 상승 및 이로 인한 저장 밀도 저하라는 경향이 반복적으로 재현됨을 보여준다.
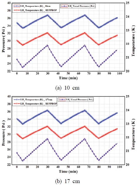
Fig. 6은 액화수소 용기 내부 바닥으로부터 10 cm와 17 cm 위치에 설치된 온도 센서에서 계측된 결과를 보여준다. 압력은 약 24–33 psi 범위에서 주기적인 삼각파 형태로 변동하며, 이에 따라 센서 온도도 동기화되어 약 1.0–1.5 K 진폭으로 함께 변동한다. 이때 센서가 보여주는 온도 곡선의 기울기와 위상은 기준 포화온도와 거의 동일하게 나타나, 압력 변화에 따른 응답 특성은 정확히 추적되고 있음을 알 수 있다. 그러나 전 시간 구간에 걸쳐 측정 온도는 기준 값보다 일정하게 높게 나타났으며, 그 평균 편차는 10 cm 지점에서 약 +1.3 K, 17 cm 지점에서 약 +1.15 K로 확인되었다. 이러한 편차는 압력 의존 거동과 무관한 상수 형태의 오프셋으로 해석되며, 센서의 고유 특성(자가 발열, 열접촉 저항, 보정 오차 등)이나 장착 환경에 따른 영향으로 추정된다.
Fig. 7은 Fig. 6에서 확인된 상수 오프셋을 보정한 결과를 나타낸다. 각각 10 cm와 17 cm 지점의 센서에 대해, 기준 포화온도 대비 측정치가 높게 나타난 평균 편차를 제거하여 교정하였다. 보정 후의 온도 곡선은 전 시간 구간에서 기준 포화온도와 거의 완전히 일치하였으며, 주기적 압력 변화에 따른 온도 응답 특성도 정확히 재현되었다. 이는 각 센서에서 나타나는 오차가 복잡한 비선형 항목이 아니라 단순한 상수 오프셋으로 설명될 수 있음을 입증하며, 이를 통해 간단한 보정 절차만으로 센서 신뢰도를 확보할 수 있음을 확인하였다. 이러한 결과는 압력 변화가 큰 실제 운전 조건에서도 보정된 센서 데이터를 압력에 의존한 온도 보정 값으로 활용할 수 있음을 보여준다.
Fig. 8은 액체수소 용기 내부 10 cm 및 17 cm 위치에서 측정된 온도와 이론 포화온도 간의 차이를 압력에 따라 나타낸 것이다. 두 센서 모두 압력 증가에 따라 온도가 상승하는 경향은 이론값과 동일하게 추적하였으나, 측정값은 거의 일정한 상향 오프셋을 보였다. 이 오차는 자가 발열, 장착 조건, 초기 보정 한계 등과 같은 센서 고유의 보정 문제에 기인한 것으로, 압력 의존적 경향과는 무관하게 매우 미미하게 증가하는 경향으로 나타났다. 이러한 편차를 1차 다항 함수로 회귀하여 보정식을 도출하였다. 10 cm 위치와 17 cm 위치의 압력에 따른 오차량은 아래와 같이 정량적으로 표현될 수 있다.
- f(p) = 0.0104p + 1.0386 @ 10cm
- f(p) = 0.0194p + 0.6597 @ 17cm
해당 보정식을 적용하면 각각의 높이에 따른 측정 온도와 이론 포화온도 간의 차이가 제거되며, 결국 실제 액체수소의 온도는 이론 데이터와 동일하게 해석할 수 있다.
본 연구에서 관찰된 온도 센서의 오차 편차는 센서 설치 위치에 따른 국부적인 열·유동 환경 차이에 기인한 것으로 판단된다. 액체수소 저장 용기 내부에서는 압력 변동과 함께 자연 대류 및 증발에 따른 기–액 계면 거동이 발생하여 온도장이 완전히 균일하지 않으며, 특히 기체층 또는 계면 인근에 설치된 센서는 국부적인 열적 비평형, 용기 벽면을 통한 열 침투, 센서 고정 구조물에 의한 전도 열전달 등의 영향으로 인해 일관된 온도 오프셋 특성을 나타낼 수 있다. 이러한 요인들은 압력 변화에 따라 비교적 선형적인 온도 오차로 반영되며, 본 연구에서 제안한 1차 회귀 기반 보정식이 센서 위치에 따른 계측 오차를 효과적으로 보정할 수 있음을 뒷받침한다.
또한 용기 내부에서 높이별로 상이하게 나타난 온도 센서 오차는 주로 센서 자체의 보정 편차와 설치 조건 차이에 기인한 것으로 해석된다. 구체적으로 센서가 용기 벽면이나 지지대와 접촉하는 방식, 접촉 열저항, 리드선을 통한 열누설 효과 등이 센서 위치에 따라 다르게 작용할 수 있으며, 특히 상부에 위치한 센서는 외부와의 열전달 경로가 상대적으로 짧아 이러한 영향이 더 크게 나타날 가능성이 있다. 또한 동일한 모델의 센서라 하더라도 제조 공정 및 초기 보정 과정에서 ±0.5∼1 K 수준의 개체별 편차가 발생할 수 있으며, 이러한 요인이 높이별 오차 차이에 반영된 것으로 판단된다. 따라서 본 실험에서 관찰된 높이에 따른 온도 차이는 유체 자체의 성층화보다는 센서 고유 특성과 설치 환경 차이에 따른 영향이 지배적인 것으로 해석할 수 있다.
본 연구에서 제안한 온도 보정식은 본 실험과 유사한 압력 범위 및 준정상 상태의 액체수소 저장 조건에서 유효하며, 센서 종류·설치 구조·열침투 조건이 크게 상이한 경우에는 추가적인 검증이 필요하다는 한계를 가진다. 본 연구 결과는 실험에서 관찰된 온도 차이가 계측 특성에 기인한 편차임을 명확히 보여주며, 이를 적절히 보정할 경우 응축형 수소 액화기에서 생산된 액체수소의 온도가 이론적으로 계산된 포화온도와 잘 일치함을 입증한다. 이는 본 시스템이 이론에 부합하는 정상적인 액화 과정을 구현하고 있음을 검증하는 동시에, 간단한 경험식 기반 보정을 통해 센서 신뢰도를 확보할 수 있음을 시사한다. 나아가 이러한 보정 과정은 액체수소 수위 측정, 생산량 환산, 저장 안정성 평가 등 후속 해석의 정확도를 보장하는 중요한 기반으로 활용될 수 있을 것으로 판단된다.
4. 결 론
본 연구에서는 응축형 수소 액화기를 대상으로, 용기 압력 변화에 따른 액체수소의 온도 보정 방법을 분석적으로 고찰하였다. 실험 결과, 극저온 온도 센서는 압력 변화에 따른 온도 추세를 정확히 추적하였으나, 이론 포화온도 대비 일정한 상수 오프셋이 존재함을 확인하였다. 이러한 편차는 센서 고유의 보정 문제나 장착 조건에서 기인한 것으로 분석되었으며, 복잡한 보정식이 아닌 단순한 경험식 보정을 통해 제거할 수 있었다. 보정 후 센서 데이터는 이론 포화온도와 잘 일치하였으며, 이를 통해 응축형 수소 액화기가 열역학적 이론에 부합하는 정상적인 액화 과정을 구현하고 있음을 검증하였다. 이는 곧 압력 변화 조건에서도 보정된 온도 데이터를 활용하면 신뢰성 있는 액체수소 온도 계측이 가능함을 의미한다. 따라서 본 연구는 압력에 의존한 온도 보정을 통해 액체수소 생산량 해석, 저장 재고 추정, 및 장기 안정성 평가의 정확도를 향상시킬 수 있음을 보여주었다. 또한 제안된 보정 방법은 향후 대형 액화 시스템과 상용 저장 탱크에도 적용 가능성이 높으며, 액체수소 인프라의 안전성과 신뢰성을 확보하는 데 중요한 기초 자료로 활용될 수 있을 것으로 기대된다.
Acknowledgments
이 연구는 2026년도 정부(과학기술정보통신부)의 재원으로 국가과학기술연구회의 지원을 받아 수행된 한국전기연구원 기본 사업임(No. 26A01022). 이 논문은 2025년도 정부(산업통상자원부)의 재원으로 한국에너지기술평가원의 지원을 받아 수행된 연구임(25A02129, 액화수소 인수기지 저장탱크 등 핵심설비 단열성능 평가 기술/안전기준 개발).
References
-
D. W. Ha, H. W. Noh, Y. M. Seo, T. H. Koo, and R. K. Ko, “Development of a condensing-type hydrogen liquefaction system for improving cooling efficiency and long-term storage”, International Journal of Hydrogen Energy, Vol. 49, 2024, pp. 1558-1571.
[https://doi.org/10.1016/j.ijhydene.2023.10.181]
-
D. W. Ha, H. W. Noh, T. H. Koo, R. K. Ko, and Y. M. Seo, “Experimental study on the liquid hydrogen zero boil-off in a liquefaction system with an automatic control technology”, International Journal of Hydrogen Energy, Vol. 83, 2024, pp. 933-945.
[https://doi.org/10.1016/j.ijhydene.2024.07.167]
-
D. H. Kang, J. H. An, and C. J. Lee, “Numerical modeling and optimization of thermal insulation for liquid hydrogen storage tanks”, Energy, Vol. 291, 2024, pp. 130143.
[https://doi.org/10.1016/j.energy.2023.130143]
-
M. Takeda, H. Nara, K. Maekawa, S. Fujikawa, Y. Matsuno, T. Kuroda, and H. Kumakura, “SImulation of liquid level, temperature and pressure inside a 2000 liter liquid hydrogen tank during truck transportation”, Physics Procedia, Vol. 67, 2015, pp. 208-214.
[https://doi.org/10.1016/j.phpro.2015.06.036]
-
Y. Qiu, Y. Zheng, B. Shen, N. Wang, G. Lei, T. Wang, H. Chang, and S. Shu, “Experimental investigation on the temperature and pressure characteristics of supercritical helium for liquid hydrogen pressurisation”, Journal of Energy Storage, Vol. 46, 2022, pp. 103895.
[https://doi.org/10.1016/j.est.2021.103895]
-
Z. Li, J. Wu, C. Lv, and M. He, “Analysis and experiment of internal temperature distribution and cooling performance of the liquid hydrogen pump”, Journal of Energy Storage, Vol. 111, 2025, pp. 115365.
[https://doi.org/10.1016/j.est.2025.115365]
-
C. Wan, C. Shi, S. Zhu, S. Fang, L. Qiu, G. Shi, D. Li, S. Shao, and K. Wang, “Comprehensive design and preliminary experiments of liquid hydrogen storage tank for trucks”, International Journal of Refrigeration, Vol. 169, 2025, pp. 279-293.
[https://doi.org/10.1016/j.ijrefrig.2024.10.037]
-
M. G. Bae, D. W. Ha, H. W. Noh, S. B. Woo, K. Heo, and Y. M. Seo, “Study on hydrogen gas pre-cooling temperature and heat exchanger area of pre-cooling system for prudction of liuqid hydrogen”, Journal of Hydrogen and New Energy, Vol. 35, No. 3, 2024, pp. 290-299.
[https://doi.org/10.7316/JHNE.2024.35.3.290]
-
P. B. de Sousa, D. Martins, M. Linder, J. Noite, and G. Bonfait, “Liquid-gas hydrogen energy storage unit for the 15-17K temperature range using an expansion volume at room temperature”, Applied Thermal Engineering, Vol. 125, 2017, pp. 1239-1252.
[https://doi.org/10.1016/j.applthermaleng.2017.06.134]
-
K. J. Kim, J. Bae, and S. Jeong, “Experimental investigation for the operational performance improvement of cryogenic piston-type pump using subcooling effect for liquid hydrogen stations”, International Journal of Hydrogen Energy, Vol. 57, 2024, pp. 727-737.
[https://doi.org/10.1016/j.ijhydene.2024.01.090]
-
M. S. Kim, T. S. Choi, and D. L. Kim, “Development of temperature sensor calibration system using cryocooler”, Transactions of the Korean Society of Mechanical Engineers -B, Vol. 37, No. 1, 2013, pp. 87-93.
[https://doi.org/10.3795/KSME-B.2013.37.1.087]
-
K. Matsumoto, M. Sobue, K. Asamoto, Y. Nishimura, S. Abe, and T. Numazawa, “Capacitive level meter for liquid hydrogen”, Cryogenics, Vol. 51, No. 2, 2011, pp. 114-115.
[https://doi.org/10.1016/j.cryogenics.2010.11.005]
-
T. Hübert, L. Boon-Brett, G. Black, and U. Banach, “Hydrogen sensors – a review”, Sensors and Actuators B: Chemical, Vol. 157, No. 2, 2011, pp. 329-352.
[https://doi.org/10.1016/j.snb.2011.04.070]
-
K. Kjikawa, H. Kuga, T. Inoue, K. Watanabe, Y. Uchida, T. Nakamura, H. Kobayashi, M. Hongo, T. Kojima, H. Taguchi, Y. Naruo, T. Wakuda, and K. Tanaka, “Development of a liquid hydrogen transfer pump system with MgB2 wires”, Cryogenics, Vol. 52, No. 11, 2012, pp. 615-619.
[https://doi.org/10.1016/j.cryogenics.2012.08.007]
-
S. Schmitt and M. E. Dreyer, “Free surface oscillations of liquid hydrogen in microgravity conditions”, Cryogenics, Vol. 72, 2015, pp. 22-35.
[https://doi.org/10.1016/j.cryogenics.2015.07.004]
-
A. Nakano, T. Shimazaki, M. Sekiya, H. Shoiozawa, A. Aoyagi, K. Ohtsuka, T. Iwakiri, Z. Mikami, M. Sato, K. Kinoshita, T. Matsuoka, Y. Takayama, and K. Yamamoto “Experimental study of temperature sensor for an ocean- going liquid hydrogen (LH2) carrier”, Cryogenics, Vol. 91, 2018, pp. 112-117.
[https://doi.org/10.1016/j.cryogenics.2018.01.007]
-
A. Nakano, T. Shimazaki, M. Sekiya, H. Shiozawa, K. Ohtsuka, A. Aoyagi, T. Iwakiri, Z. Mikami, M. Sato, Y. Sugino, K. Kinoshita, T. matsuoka, T. Imamura, Y. Takayama, and K. Yamamoto, “Research and development of liquid hydrogen (LH2) temperature monitoring system for marine applications”, International Journal of Hydrogen Energy, Vol. 46, No. 29, 2021, pp. 15649-15659.
[https://doi.org/10.1016/j.ijhydene.2021.02.052]
-
H. Liu, K. Zhu, M. You, Y. Li, J. Liu, and Z. Lin, “High precision temperature measurement for cryogenic temperature sensors based on deep learning technology”, Cryogenics, Vol. 140, 2024, pp. 103830.
[https://doi.org/10.1016/j.cryogenics.2024.103830]







